(1)首先,定量是具有规定性或一般界限的量,——它在具有完全的规定性时就是数。
第二,定量先区别自身为外延的定量,界限在那种定量里就是实有的多的限制;——随后由于这种实有过渡为自为之有,定量又区别自身为内涵的定量,即度数(Grad),这种内涵的定量,作为自为的,并且在自为中作为漠不相关的界限,都同样是直接在一个自身以外的他物那里有自己的规定性。作为这样建立起来的矛盾,定量既是单纯的自身规定,又在自身以外有其规定性,并且为这规定性而指向自身以外,所以
第三,定量作为自己在自身以外建立起来的东西,便过渡为量的无限。
量是定量,或者说,不论作为连续的或分立的大小,它都有一个界限。这两类的区别,在此处并没有什么意义。
量作为扬弃了的自为之有,自身本来已经对它的界限漠不相关。但是界限(或说成为定量),对量说来,却又并不因此而不相关;因为量自身中包含着一,这个绝对被规定了的东西,作为量自己的环节;这个绝对被规定了的东西,在量的连续性或单位那里,就被建立为它的界限,但界限仍然又是一般的量所变成的一。
所以这个一是定量的根本,但它又是作为量的一。因此,一首先是连续的,它是单位;其次,它是分立的,是自在之有的(如在连续的大小中)或建立起来的(如在分立的大小中)诸一的多,诸一彼此相等,都具有那种连续性,即同一的单位。第三,这个一作为单纯的界限,又是多个的一的否定,把他有排除于自身之外,是它与别的定量相对立的规定。所以一是(1)自身关系的界限,(2)统括的界限,(3)排除他物的界限。
在这些规定中完全建立起来了的定量,就是数。这个完全建立起来了的东西就在作为多的界限的实有之中,因而也就是在多与单位的区别之中。因此,数好像是分立的大小,但数在单位那里也同样有连续性。所以数也是有了完全规定性的定量;因为在数中,界限就是被规定了的多,而多则以一,这个绝对被规定了的东西为根本。一在连续性中,仅仅是自在的,是被扬弃了的,而连续性被建立为单位,则只有不曾规定的形式。
定量只是就本身说,才一般有了界限;它的界限就是定量的抽象的、单纯的规定性。但是定量既然又是数,这个界限便在自身中建立为杂多。这个界限包含着那些构成其实有的多个的一,但并不是以不曾规定的方式去包含它们,而是界限的规定性就在界限之内;界限排除别的实有,即排除别的多;而界限所统括的诸一则是一定的数量,即数目(Anzahl)。数目在数中是分立性,而它的他物则是数的单位,是数的连续性。(2)数目和单位构成数的环节。
关于数目,还必须仔细看看构成数目的多个的一,在界限中是怎样的;说数目由多而成,这种关于数目的说法是对的,因为诸一在数目中并未被扬弃,而只是在数目之内,和排他的界限一同被建立起来,诸一对这个界限是漠不相关的。但是界限对诸一却不是漠不相关的。在实有那里,界限和实有的关系首先是这样树立的,即实有作为肯定的东西仍然留在实有界限的里边,而界限、否定却处在实有的外边,在实有的边沿;同样,多个的一的中断,出现在多个的一那里,而其他诸一的排除,作为一种规定,则是落在被统括的诸一之外。但是那里已经发生这种情形,即:界限贯穿实有,与实有同范围,并且某物因此依据其规定有了界限,即它是有限的。比如对量中的一百这样一个数,可以设想唯有第一百的一才成了多的界限,使其为一百。一方面这是对的,一方面在这一百个一之中,又并无一个有特权,因为它们都是相等的;每一个都同样可以是第一百个;它们全都属于所以为一百之数的界限;这个数为了它的规定性,任何一个也不能缺少;从而与第一百个一相对立的其他诸一,并不构成界限以外的实有,或仅仅在界限之内而又与界限不同的实有。因此,数目对进行统括和进行界划的那个一来说,并不是多,而是自身构成了为一个规定了的定量的界限;多构成一个数,如一个二,一个十,一个一百等等。
进行界划的一,现在就是与他物相对的、被规定了的东西,是一个数与另一个数的区别。但是这种区别不会变成质的规定性,而仍然是量的区别,仅仅归属于进行比较的、外在的反思。数仍然是回复到自身的一,并且与其他的数漠不相关。数对其他的数这种漠不相关,乃是数的基本规定;它构成数的自在的、被规定的有,同时又构成数自己的外在性。这样,数就是一个计数的一,作为被绝对规定的东西,它又具有单纯直接性的形式,所以与他物的关系,对这样的一说来,完全是外在的。作为一,它就是数,因为规定性是对他物的关系,一就从自身中的环节,即从它的单位和数目的区别中,有了规定性,而数目本身又是一的多,这就是说这种绝对外在性又是在“一”本身之内的。数或一般定量这种自身矛盾,就是定量的质;这种矛盾在定量的质进一步的规定中发展了。
空间大小和数的大小,时常被认为同是很确定的两类大小,其区别只是由于连续性和分立性规定之不同,但是作为定量,它们都处在同一阶段。几何学在空间大小方面,一般以连续的大小为对象;而算术则在数的大小方面,以分立的大小为对象。但是这两者以对象之不同,它们之被界限和被规定,也就没有相同的方式和完满性。空间大小只有一般的界限;在它应当被认为是绝对的规定的定量时,它才需要数。几何学本身并不测量空间的形象,它不是测量术,而只是比较那些形象。即使在几何的定义那里,一部分规定也是由等边、等角、等距离取来的。因为圆只依靠圆周上一切可能之点都对圆心有同等的距离,所以圆的规定并不需要数。这些基于相等或不相等的规定,是道地几何的规定。但是这些规定还不够;对其他的东西,例如三角形、四边形,数仍然是需要的;这个数在它的根本中、即在一中,包含着自为的、规定的东西,不包含借助于他物、即借比较而被规定的东西。空间的大小,就点而言,固然具有与一相应的规定性;但是当点超出到自身以外时,点就变为一个他物,变成线;因为点本质上只是空间的一,所以点在关系中,就变成连续性,在连续性中,点的性质,那个自为的规定的东西,那个“一”,便被扬弃了。既然那个自为的规定的东西应当在自身以外的东西中保持自身,那么,线就必须被设想为诸一的一个数量,而界限也必然在自身中获得多个的一的规定,这就是说线的大小也必须和其他空间规定的大小一样,被认为是数。
算术考察数及其符号,或者不如说算术并不考察它们,而是用它们来运算。因为数是漠不相关的规定性,是漠然不动的;必须从外面使它活动并发生关系。关系的方式也就是算法。算法在算术中将逐一出现,而它们的相互依赖,也是很明显的。但是引导它们前进的线索,却并没有在算术里提出来。另一方面,从数的定义本身,也很容易得到系统的排列,教科书中对这些事物的讲说,正要求有这样的排列。我们将在这里简略地指出这些主要的规定。
数的根本是一,因为这个缘故,一般说来,它是一个外面凑合起来的东西,是一个纯粹分析的符号,并没有内在的联系。因为数只是外在的产物,所以一切计算都是数的产生,即计数,或更确切地说,综计。这种外在的产生永远只是做同样的事,它的差异唯有在于应当被综计的诸数互有区别;这样的区别一定是从别的地方和外在规定得来的。
我们已经看到,构成数的规定性那种质的区别,就是单位和数目的区别;因此,一切可以在各种算法中出现的概念规定性,都归结到这种区别。作为定量的数,也有其适宜的区别,这种区别就是外在的同一和外在的区别,即相等和不相等;这些反思的环节(3),要在后面本质规定中区别那一章里加以讨论。
此外还须预先提一下的,就是数一般可以用两种方式产生,或是统括,或是分开已经统括了的东西——因为两者的发生都用了以同一方式来规定的计数法,所以相当于数的统括的东西,人们可以称之为正面算法;而数的分开,人们可以称之为反面算法;算法本身的规定却并不依赖这种对立。
1.在这些解释之后,我们在这里随着举出计算的方式。数的最初产生,是多个本身的统括,即其中每个都被当作一——这就是计数。因为诸一彼此都是外在的,所以它们以感性的形象来表现自己,数由之而产生的运算,便是数指头、数点等等。什么是四、五等等,那是只能够指陈的。由于界限是外在的,所以这个连续过程中断的地方,毕竟是某种偶然的、随意的东西。在各种算法的进程中,出现了数目与单位的区别,这种区别为二进位、十进位等数的系统奠立基础。大体说来,一个这样的系统依靠采用什么数目作为经常反复的单位的那种随意性。
由计数而生的数,又将再被计数。数既然是这样被直接建立起来的,所以它们彼此间还没有任何关系,就被规定了;它们对相等和不相等是漠不相关的;它们相互间的大小是偶然的,因而一般是不相等的——这就是加法。人之所以体会到7与5构成12,那是由于用指头或别的东西对7再加上5个一;以后,人们就要把这种结果死背牢记,因为那里没有任何内在的东西。7×5=35,也是如此,人们由于用指头等等来计数而知道对一个七再加一个七,如此五次就成功了,而其结果也同样要死背牢记的。现成的一数加一数,或一数乘一数,都只有硬记才能学会,由此便可以省掉去找出总和或乘积的计数之劳了。
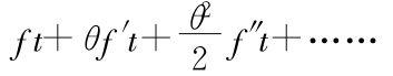
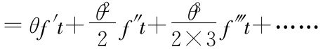
康德曾在《纯粹理性批判》的导言第五节中把7+5=12这一命题看作是一个综合的命题。他说:“人们起初固然会设想(确是如此!)这个命题仅仅是一个分析命题,它根据矛盾律由七与五之和这一概念来的。”和的概念不过是抽象的规定,即:这两个数应当统括起来,而且作为数,就应当是用外在的、即无概念的方式加以统括——那就是从七再数下去,直到数完需要加上的其数目被规定为五的那些个一为止;结果就带来了人们从别处知道的名词,即12。康德接着说道:“但是假如仔细考察一下,就会发现7与5之和这一概念所包涵的东西,不过是联合这两个数为一个单一的数,丝毫不因此而想到这统括两数的唯一之数是什么;”——他又说,“我对这样可能的总和概念,尽管分析,也在其中遇不着十二。”但是那种课题之获有结果,却与总和的思维,概念的分析毫不相干;“必须超出概念,用五个指头等等帮助来取得直观,于是便将在直观中给予的五的单位加到七的概念上去。”(4)五诚然是在直观中给予的,即是在思想中随意重复的一完全外在地联结起来了;但是七也同样不是概念;当前并没有人们所要超出的概念。5与7之和就是指两个数无概念的联结;这样无概念地从七继续数起,直到把五数尽为止,正如从一数起一样,都可以叫做一种联结,一种综合,——但这种综合完全是分析性质的,因为这种联系完全是造作出来的;本来在其中或引入其中的,都没有不是外在的东西。7加上5这一设准与一般计数设准的关系,也正如延长一直线的设准与画一直线的设准关系一样。
综合这一名词既是如此空洞,综合先天出现——这一规定也是同样的空洞。计数当然不是感觉的规定,根据康德对直观的规定,只有感觉规定留下来给后天的东西。计数当然是基于抽象直观的活动,这就是说它是由一的范畴来规定的,并且在那里,一切其他感觉规定以及概念都被抽去了。这样的先天,总之是模糊不清的东西;作为冲动、意向等等的情绪规定里面有同样先天性的环节,正如空间和时间被规定为存在物,而时间的东西和空间的东西被后天地规定那样。
与此有关的,还可以再说康德关于纯几何基本命题的综合性质的主张,同样很少根本的东西。由于康德以为较多的基本命题都真的是分析的,所以对那种综合观念,单单举了两点间最短者为直线这一基本命题。“我对于直的概念,并不包含大小,而只包含一种质;最短的这个概念是完全添加上的,并不能从直线概念的分析得出来;所以这里必须用直观帮忙,综合只有借助于直观才可能。”(5)但是这里所涉及的,也不是一般的直的概念,乃是直线的概念,而直线却已经是空间的,有了直观的东西。直线的规定(假如人们愿意的话,也可以说是直线的概念),当然不外是绝对单纯的线,就是在超出自身以外之中的(所谓点的运动)绝对的自身关系,在这种线的延伸中,并没有建立任何规定的差异,任何在它以外的点或点的关系,——这是绝对在它自身中的单纯方向。这种单纯性诚然是它的性质,假如说直线似乎很难分析地下定义,那么,这也仅仅是为了单纯性规定或自身关系的缘故,并且仅仅因为反思在规定时,面前首先便有了多,或说由另外的多而进行规定;但是,干脆就自身说,要把握延伸自身中的单纯性这种规定,或延伸由他物并无规定的这种规定,却并不难;——欧几里得的定义所包含的,也不外是这种单纯性。但是现在这种由质到量的规定(最短)的过渡,这种应该构成综合的东西的过渡,却全然只是分析的。线,既然是空间的,就是一般的量;最单纯的东西,从定量来说,那就是最少的;从线来说,那就是最短的。几何可以接受这些规定作为定义的附款;但是阿基米德在他关于圆球体和圆柱体的书籍(参看豪伯尔〔Hauber〕译本第4页)里,作了最适宜的事情,把直线的那种规定树立为原理,这与欧几里得将关于平行线的规定列入原理之内同样是正确的,因为这种规定的发展,要成为定义,同样不是直接属于空间性,而是属于抽象的质的规定,和上面的单纯性一样,要求方向之类东西的等同。这些古人对他们的科学,给了突出的特性,其表述严格限于材料的特征以内,因此,与这些材料性质相异的东西就被排除了。
康德所提出的先天综合判断这一概念,是他的哲学中伟大和不朽之处。这个概念表示区别与同一不可分离,同一在自身那里也就是不曾分离的区别。因为这个概念就是概念本身,并且一切自在的东西都是概念,所以这种概念当然也在直观中同样呈现,但是在那些例子中所得到的规定,却并不表现概念;数和计数倒不如说是一种同一性或同一的发生,它绝对仅仅只是外在的,是仅仅表面的综合,是这样一些一的统一,即这些一并不被当作是彼此同一的,而是外在的、各自分离的。至于直线为两点间最短之线的规定,倒不如说只以抽象同一物这个环节为基础,在抽象同一物那里并没有区别。
我由这段插话再回到加法本身。与加法相应的反面算法,即减法,是数的分离,它也同样完全是分析的。和在加法里一样,数在减法中,也一般被规定为彼此不相等的。
2.第二种规定是需要计数的数相等。那些数由于这种相等而是统一体,于是在数那里便出现了单位与数目的区别。乘法的课题是总计单位的数目,而单位本身也是一个数目。至于两数中,哪一个被当作单位,哪一个被当作数目,如说四乘三,即以四为数目,三为单位,或倒过来说三乘四,那都是一样的。——前面已经说过乘积的原始发现,是用简单的计数,即用指头等等数得来的;后来依靠那些乘积的累积,即九九表,及对九九表的熟记,便可以直接说出乘积了。
除法是依据同样的区别规定的反面算法。两个因素、除数与商数中哪一个被规定为单位,哪一个被定为数目,同样是无所谓的。假如将除法的问题表述为要看在一个已知数中包含一个数(单位)的多少倍(数目),那么,除数就被规定为单位,而商数便被规定为数目;反之,假如说要把一个数分成一定数目的等分并找出这些等分(单位)的大小,那么,除数就将被当作数目,而商数则被当作单位。
3.相互规定为单位和数目的两个数,仍然还是彼此对立的数,因而完全是不相等的数。相等是以后得到的,它是单位和数目本身的相等;这样,在数的规定中的诸规定,其趋于相等的过程便完成了。根据这种完全相等的计数,就是乘方(反面的算法就是求方根),——当然,首先就是把一个数提高到平方,——这种计数,完全是自身规定的,在那里,(1)要相加的许多数是同一的,(2)这些数的多,或说这些数的数目,与那要被乘多少倍的数,即单位,是同一的。此外,在数的概念中,既没有能够提供区别的规定,也不能把数中所含有的区别求得进一步的一致。提高到比平方更高的幂方,那只是一种形式的继续;——一方面,幂数为偶数时,那就只是平方的重复;——另一方面,方幂为奇数时,不相等又出现了;因为新的因数虽然对于数目和单位二者在形式上仍是相等的(例如首先在立方那里),但是这个因数,作为单位,却与数目是不相等的(平方,3对3);(3)至于四的立方,那就更加不相等了,那里的数目3,与应该根据这个数目自乘的单位之数本身就不同。数目和单位这两个规定,本身就构成了概念的本质区别,以致凡走出自身以外的都可以完全回复到自身上来,它们是必须变为相等的。上面所说,也含有更进一步的理由,即:一方面,为什么解较高的方程式,一定要归到平方的二次方程式;另一方面,为什么有奇数幂的方程式只能有形式的规定,而恰恰在方程式之根是有理数时,可以找到的只不过是虚数的表示,这正是根所以为根及其表现的反面。——根据以上所说,似乎只有算术的平方才包含绝对的自身规定的东西,因此具有其他形式的方幂的方程式必须归回到平方;正如几何中的直角三角形,包含着毕达哥拉斯定理所指出的绝对的自身规定性,所以一切其他几何形体的全部规定也都必须还原到直角三角形那里去。
根据逻辑地构成的判断而进行的课程,要在讲比例学说之先,讲方幂的学说。比例诚然与单位和数目的区别相关联,这种区别就成第二种算法的规定,但是单位和数目又是超出了直接定量的一以外,而在直接定量中,它们却只是环节;根据定量而来的进一步的规定,对于那个定量本身仍然是外在的。在比例中,数不再是直接的定量;定量有了规定性作为中介。质的比率,我们将在以后加以考察。
关于所谓算法进一步的规定,可以说这种规定并没有关于算法的哲学,也没有指明其内在意义,因为事实上,它并不是概念的内在发展。哲学必须知道区别一种自身是外在的质料,按其本性说是什么;因为概念的进展,在这样的东西那里,只有以外在的方式来表现,而其环节也只能是特殊的外在形式,如此处的相等和不相等。要对实在的对象进行哲学思考,使外在的、偶然的东西的特殊性不致被观念扰乱,而这些观念也不致由于质料的不适当而受到歪曲和流于形式;那么,区别概念的一定形式(或说概念作为当前的存在)所属的范围,便是进行这种哲学思考的基本要求。在外在的质料那里,比如说在数那里,概念环节是在外在性中出现的,但是那种外在性在那里却是适当的形式;因为那些环节是用知性表现对象,并不包含思辨的要求,所以显得容易,值得在初级教科书中应用。
(6)大家都知道毕达哥拉斯曾用数来表示理性关系或哲学问题;即使在近代,为了根据数来整理思想或用数来表现思想,哲学中也曾使用数及其关系的形式如因次等。——就教育的观点而言,数被认为是内在直观的最适宜的对象,对数的关系的运算也被认为是精神的活动,精神在这种活动中就把它最特有的关系,一般地说,本质的根本关系,显现给直观。数的这样高的价值,能达到多少程度,是由数的概念产生的,正如概念自身所发生的那样。
我们曾经看到数是量的绝对规定性,而数的原素则是变成了漠不相关的区别——即自在的规定性,它同时又完全只是外在地建立起来的。算术是分析的科学,因为在它的对象中出现的一切关联和区别,都不是在对象本身之中,而完全是从外面加之于对象的。它并没有具体的对象;具体对象有自在的内在关系,起初隐藏着不被知道,不是在有关对象的直接观念中就呈现出来,而是要由认识的努力才可以获致。算术不仅并没有包含概念以及由概念而来的概念思维的课题,而且是概念思维的反面。因为有关联的东西对这种缺少必然性的关联漠不相关的缘故,思维在这里的活动也就是思维自身的一种极端的外在化;这种活动强使思维在无思想性之中运行,它把毫不能够有必然性的东西联系起来。这种对象是外在性本身的抽象思想。
既然是这种外在性的思想,同时也就抽掉了感性的丰富多彩;它从感性的东西所保留下来的,不过是外在性本身的抽象规定;感性的东西由此而在数中最近于思想;数是思想自己外在化的纯思想。
精神是超出感性世界并认识自己的本质的,由于精神要为它的纯观念、为它的本质表现寻找一种原素,它可以因此而在将思想本身当作这种因素来把握,并为这种思想的陈述获得纯精神的表现之前,就陷于这样的情况,即选择了数,这种内在的、抽象的外在性。所以我们在科学史中,看到很早便用数来表示哲学问题。数构成用带着感性的东西来把握共相这种不完善的情况的最后阶段。数是处于感性的东西和思想的中间,古人对于这一点也曾经有过明确的意识。亚里士多德引证柏拉图(《形而上学》I,5)说:在感性的东西和理念以外,其间还有事物的数学规定;它与感性的东西有区别,因为它是不可见(永恒的)、不动的;它与理念不同,因为它是一个杂多的东西并具有相似性,而理念则绝对只与自身同一并且自身是一。卡地斯的莫德拉图(Moderatus aus Cadix)(7)关于这个问题更详细而透彻的想法,曾在马尔可的《论毕达哥拉斯的生活》(Malchi Vita Pythagorae,里特胡斯版[ed.Ritterhus]第30页以下)中有过引证,他认为毕达哥拉斯派抓住了数,他们还不能够明白地用理性来把握根本理念和第一原理,因为这些原理是难于思维的,也是难于说出的;数在授课时,供口讲指画之用却很好。毕达哥拉斯派在这里和别的地方,都摹仿几何学家,后者不能以思想来表现具形体的东西,便使用图形,说这是一个三角形,但在这样说的时候,他们却不是要把眼前看到的图画就当作三角形,而只是用以设想一个三角形的思想。毕达哥拉斯派把统一、同一和相等的思想,把一致、联系、一切事物的保持和与自身同一的事物等等的根据,都说成是一,也是如此。——这里用不着再说毕达哥拉斯派也曾从数的表示过渡到思想的表示,即过渡到相等和不相等、界限和无限等显著的范畴;至于这些数的表示,也已经有过引证(见同上书第31页左边的注释,摘自福千[Photius]所编毕达哥拉斯的传第722页),即:毕达哥拉斯派曾区别一元(Monas)和一;他们认为一元是思想,而一则是数;同样,二是算术的东西,而二元(Dyas)(这好像应该如此说法)则是不确定之物的思想。——这些古人很正确地首先察觉到数的形式对于思维规定的不足之处,他们也同样正确地更为思想要求特有的表现,来代替这种应急解法。今天有些人又用数的本身和数的规定,如方幂,然后用无限大和无限小,一被无限来除,以及诸如此类本身常常是颠倒错乱的数学的形式主义的规定,来代替思想的规定,并且以为退回到那种奄奄无力的儿戏是某种值得赞美的,甚至是根本的、深刻的东西,古人的思考比起这些人来,前进了该有多远啊。
上面引过这种说法,即数是处于感性的东西和思想之间,由于数又从感性有了多,那个在数那里相互外在的东西,所以要注意到多本身,那个被纳入思想中的感性的东西,就是在多那里的外在物的属于多的范畴。进一步的、具体的真思想,这种最有生气的、最活动的、只能在关系中去理解的东西,移植到那种自身外在的原素里,就变成了僵死不动的规定。(8)思想愈是富于规定性,也就是愈富于关系,那么,用数这样的形式来表述它,也就愈是一方面含糊混乱,另一方面则任意独断而意义空洞。一、二、三、四与元(或一元)、二元、三元、四元还与完全简单的抽象概念接近;但是当数应该过渡到具体关系时,还要使数仍然与概念接近,那便是徒劳的。
假如思维规定通过一、二、三、四便被称为概念的运动,好像概念只有通过这些数才成其为概念,那么,这将是对思维所要求的最困难的东西。思维将在它的对立物中,即在无关系中活动;它的事业将是一种发疯胡闹的工作。譬如要理解一就是三,三就是一,其所以是困难的要求,因为一是无关系的东西,这就是说它在自己本身那里并不表现出规定,不由规定而过渡到它的对立物,反倒是绝对排除并拒绝这样的关系。恰恰相反,知性却利用这点来反对思辨的真理(例如反对在被称为三位一体说中所立下的真理),并且用数字来计数那些构成一个统一体的思辨真理的规定,以便指出它们的明显荒谬,——就是说知性本身陷入了荒谬,它把绝对是关系的东西造成无关系的东西了。在用三位一体这个名词的时候,当然料想不到一和数会被知性看成内容的本质规定性。这个名词就表现了对知性的轻视,而知性执着于一和数本身,还坚持它的虚妄,并有这种虚妄来与理性对立。
数、几何形状,如圆、三角形等,常常被当作是单纯的象征(例如圆是永恒的象征,三角形是三位一体的象征),一方面这是某种天真无邪的东西,另一方面,假如以为因此就比思想所能够把握和表现的还表现得更多,那却是发了疯。这样的象征和其他在各民族的神话和一般诗歌艺术中由幻想产生的象征,无幻想的几何形状与它们相比,是绝对贫乏的;假如说在那些象征之中,含有深刻的智慧、深刻的意义,那么,与思维唯一有关的事,就正是要把在那里还不过是隐含的智慧发掘出来,并且不仅要把在象征中的,也要把在自然和精神中的这种隐藏着的智慧发掘出来;在象征中,真理还是被感性的因素搅昏了、遮蔽了;它只有在思想形式里才对意识是完全开朗的;意义只是思想自身。
数学公式如其有思想和概念区别的意义,那也不如说这种意义首先需要在哲学中加以指出,加以规定和加以论证,所以采取数字的范畴,想从而为哲学的科学的方法或内容规定什么东西,这根本是糊涂的事情。哲学在它的具体科学中,是从逻辑、不是从数学,采取逻辑的东西;为了取得哲学中逻辑的东西而采取逻辑的东西在其他科学中所采取的形态,那只能是哲学软弱无力时一种应急的办法,这些形态许多只是对逻辑的东西朦胧的预感,另一些则是它的退化。简单应用这样借来的公式,无论如何都是一种肤浅的态度;在应用这些公式以前,必须先意识到它们的价值和意义;但是这样的意识只有由思考产生,而不是出于数学给予这些公式的威信。对这些公式这样的意识乃是逻辑本身,这种意识刷除掉它们的特殊形式,使这些形式成为多余无用的东西,并纠正这些公式。唯有这种意识才能对它们提供校正、意义和价值。
使用数和计算应当构成教育的主要基础,在这种情况下,它的重要性,从以上所说就很显然了。数是一个非感性的对象,研究数及其联系是一件非感性的作业;于是精神便停留在自身的反思和内在的抽象工作上,这也有很大的、但却是片面的重要性。因为另一方面,数既然只是以外在的、无思想的区别为基础,那样的作业便只是无思想的、机械的作业。它用力之处,主要在于坚持无概念的东西,无概念地把它们联系起来。内容是空洞的一;而伦理的、精神的生活及其个别形态的丰富价值,这正是教育应该用来作为最高贵的营养培养青年心灵的,就会被这无内容的一挤掉了。假如那样的练习成了主要的宗旨和主要的业务,其结果除了使精神在形式和内容上变得空虚而迟钝以外,不可能有别的东西。因为计算是这样外在的,然而也就是机械的作业,以至可以制造出机器来极其圆满地完成算术的运算。假如人们关于计算的性质只知道这种情况,那么不管他对一件事所设想的是什么,其中就会包含这样的决定,即把计算造成对精神的主要教育手段,对精神加以桎梏,把精神十全十美地变为一架机器。
1.如前所说,定量以数目中的界限为规定性。定量自身就是分立的,是一个多,它不具有和它的界限不同而界限在其外面那样的东西。所以定量连同界限(这个界限在它自己那里就是一个杂多的东西)就是外延的大小。
必须把外延的大小和连续的大小区别开;外延的大小并不直接与分立的大小对立,而是和内涵的大小对立。外延和内涵的大小都是量的界限本身的规定性,但是定量则与它的界限是同一的;另一方面,连续和分立的大小是自在的大小的规定,即量本身的规定,因为在定量那里,界限抽掉了。由于外延大小的多,一般就是连续的,所以它在本身及其界限都有连续性这个环节;这样,作为否定的界限便在多的这种相等中,出现为统一体的划界。连续的大小是不管界限而自己连续下去的量;假如要想象它有一界限,那么,这种界限也只是一般的划界,在那里并未建立起分立。定量若只是连续的大小,它就还不是真正自身有了规定,因为它缺少一(在一中就含有自身规定的东西),也缺少数。同样,分立的大小只是一般直接地有区别的多,既然多本身应该有一界限,那么,这个多只是一堆或一些,即是一个不曾规定界限的东西;它若要成为规定的定量,就需要把多总括为一,从而使这些多与界限同一。使定量完全规定并成为数,有两个方面;连续和分立的大小,作为一般定量,都各自只建立了一个方面。数是直接的外延的定量,——是单纯的规定性,主要作为数目,但却是作为一个并同一的单位的数目;外延定量与数的区别,唯在于规定性在数中明白地被建立为多。
2.可是,某物由数而有多大那样的规定性,却不需要与有其他大小的某物相区别;因为一般的大小是自为规定的、无分别的、单纯自身相关的界限,所以这样大小的事物本身和其他大小的事物都属于那个规定性。在数中,规定性被当作封闭在自为之有的一以内,并且具有外在性,即在自身中有与他物的关系。界限本身的这个多,和一般的多一样,不是自身不相等的,而是连续的。多中的每一个都是他物之所以为他物那样的东西;因此,它们每一个作为多的相互外在或分立,并没有构成规定性本身。于是这个多便自为地消融为它的连续性,变成单纯的统一体。数目只是数的环节,它作为一堆可计数的一,并不构成数的规定;而这些一作为漠不相关的、外在于自身的东西,却在数返回到自身时被扬弃了。外在性构成多中的诸一,它在作为数的自身关系的那样的一中便消失了。
定量若是外延的,它便以自身外在的数目为它的实有的规定性,于是它的界限便过渡为单纯的规定性。在界限的这种单纯的规定中,定量便成了内涵的大小,于是与定量同一的界限或规定性,现在便被建立为单纯的东西,——即度数(Grad)。
这样,度数便是一个规定的大小或说定量,但在自身以内又不是数量(Menge)或多数(Mehreres)(9),它只是一种多数性(Mehrheit),多数性是把多数统括为一个单纯的规定,是回到自为之有的实有。它的规定性固然必须用数来表现,作为定量完全规定了的规定性,但又不是作为数目,而是单纯的,只是一个度数。假如我们说10度数,20度数,那么,有这样多度数的定量只是第十度数,第二十度数,而不是这些度数的数目与总和;假如是那样,它便会成了外延的定量;所以它只是一个度数,即第十度数、第二十度数。这个度数所包含的规定性,是在十、二十数目之中的,但并不是把这种规定性作为多数来包含它,而是度数作为扬弃了数目的数,作为单纯的规定性。
3.在数中,定量是以完全的规定性建立起来的;但是作为内涵定量,它却是在数的自为之有中建立起来的,无论就它的概念说,或就它的自在说,都是如此。这就是说,定量在度数中所具有的自身关系的形式,同时也是度数自身的外在的东西。数、作为外延定量,是可计数的多,所以在数自身之内具有外在性。这种外在性,作为一般的多,便消融于无区别之中,并且在数的一之中,即在数的自身关系中扬弃了自身。但是定量又具有作为数目的规定性,如上面所指出的,它之包括数目,就好像数目在它那里并不再建立起来似的。所以度数,作为单纯的自身,其中并不再有这个外在的他物(10),度数是在自己之外,具有这个他物,并且以和这个他物的关系作为与自己的规定性的关系。一个外在于度数的多,构成单纯的界限的规定性,这个界限是度数所以为自为的。由于数中的数目应该是处在外延限量之内,数目就在那里扬弃自身,从而因为在数之外被建立起来,便规定了自身。由于数作为一,就是建立了反思自身的自身关系,所以数把数目的漠不相关和外在性排除于自身之外;并且是作为通过自身与外物的关系那样的自身关系。
在这里,定量便有了与它的概念相适应的实在。规定性的漠不相关,构成定量的质,即是说这种规定性在它本身那里是自身外在的规定性。因此,度数就是在许多这样的内涵之下的一个单纯的大小规定性,这些内涵每一个只是单纯的自身关系,它们互不相同而又彼此有重要的关系,所以每一个内涵都是与其他内涵一起在这种连续中有其规定性。度数这种由自身而有与他物的关系,使度数表中的升降,成为一种持续的进行,一种流动,这种流动就是不断的、不可分割的变化。在变化中有了区别的多数,其中每一个都不与其他多数脱离,而只是在其他多数中才有规定。作为自身关系的大小规定,每一度数对其他的度数都是漠不相关的,但是它又自在地与这种外在性相关,只有借助于这种外在性,它才是它之所以为它;它的自身关系,是在一个度数中与外物并非漠不相关的关系,在这种关系中,度数便有了它的质。
度数不是一个在度数以内而外在于自身的东西。不过,它不是不曾规定的一,一般数的根本;这种一不是数目,只是否定的数目,所以并非数目。内涵的大小首先是多数的一个单纯的一,这个一是多数的度数,但是这些度数却既不被规定为单纯的一,也不被规定为多数,而只是被规定为在这种自身外在的关系中,即在一与多数性的同一中。所以,假如多数本身诚然是在单一的度数以外,那么,这个单一度数的规定性就在于它与那些多数的关系;于是度数包含数目。正如作为外延大小的二十,——自身便包含着二十个分立的一那样,被规定了的度数也包含这些一作为连续性,这种连续性就是单一地规定了的多数;这个被规定了的度数便是第二十度,并且只有借助于这个数目才成为第二十度,而这个数目本身又在度数之外。
因此必须从两方面来考察内涵大小的规定性。它是由其他内涵定量来规定的,并且是与它的他物一起在连续性中,所以它的规定性在于这种与他物的关系。第一,现在这种规定性既然是单纯的规定性,它就是相对于其他度数而被规定的;它把其他度数排除于自身之外,并且以这种排除为它的规定性。第二,它又是在自己本身那里被规定的,它之在数目中被规定,是在它自己的数目中,不是在它的已被排除的数目中,或说不是在其他度数的数目中。第二十度在它本身那里包含着二十;它之被规定,不仅区别于第十九度数、第二十一度数等等,而且它的规定性就是它的数目。但是数目既然是它的数目,——同时规定性在本质上也就是数目,——所以度数也是外延的定量。
这样,外延和内涵大小就是定量的一个并且是同一的规定性;它们之所以有区别,只是因为一个所具有的数目是在它自身以内,而另一个所具有的同一的东西,即数目,则是在它自身以外。外延大小过渡为内涵大小,因为它的多自在而自为地消融为统一体,多退出到统一体之外。但是反过来,这个单一的东西只是在数目那里,并且诚然是在它的数目那里,才有规定性;作为对其他规定了的内涵漠不相关,它就在自身那里具有数目的外在性;所以内涵大小在本质上,也同样是外延大小。
某种有质的东西随着这种同一性出现了,因为同一性是由否定其区别而与自身相关的统一;但是这些区别却构成实有的大小规定性;所以这种否定的同一性是某物,而这个某物却又是对它的量的规定性漠不相关的。这个某物是一个定量;但现在这个质的实有,却像它是自在的一样,被建立为对实有漠不相关。我们可以谈论定量、数本身等而不涉及载负它们的某物。但是现在某物却与它的这些规定(11)对立,由于否定这些规定而以自身为中介,好像是自为地实有的东西,并且因为这个某物之有一定量,就像这个某物具有一个外延兼内涵的定量似的。它所具有的作为定量的一个规定性,是在单位和数目这两个不同环节中建立起来的;这个规定性不仅自在地是一个和同一的,而且它在作为外延和内涵定量等区别中的建立,就是回复这种统一体,这种统一体,作为否定的统一体,就是对这些区别漠不相关的某物。
在通常观念中,外延和内涵定量常被区别为大小的种类,好像一些对象只有内涵大小,而另一些对象只有外延大小似的。此处又加上哲学的自然科学的观念,它把多数,即外延,例如在充填空间这一物质的基本规定中以及在其他概念中,以这样的意义转变为内涵,即:内涵作为动力的东西,是真的规定,并且在本质上必须把这种内涵,譬如密度或特殊的空间充实程度,不当作在一个定量空间中的物质部分的某个数量和数目来把握,而当作充填空间的物质的力的某一度数来把握。
这里必须区别两种规定。在所谓力学观点转变为动力学观点之时,就出现了表面上联系在一整体之内而各自独立存在的部分的概念和与此不同的力的概念。在充填空间之中,一方面被认为仅仅是一些相互外在的原子那样的东西,另一方面会被看作是基本的单纯的力的表现。整体与部分,力及其外现等关系,在这里互相对立,但还不是这里要说的事情,将在以后加以考察。现在要提到的,只是力及其外现的关系(这种关系相应于内涵),与整体和部分的关系相比,固然较为真实,但是力并不因此而比内涵较少片面性;外现,即外延的外在性,也同样离不开力,所以在外延和内涵两种形式中,都呈现一个并且同一的内容。
这里出现的另一规定性,是量的规定性本身;它作为外延定量,是被扬弃了,并且作为真正应有的规定,将转化成度数;但是以前已经指出过,度数也包含量的规定性,所以这一形式对另一形式也是重要的,于是每一实有都把它的大小规定既表现为外延定量又表现为内涵定量。
因此,一切东西,只要是表现为一个大小的规定,都可以为这种情况作例子。即便是数,必然也在它那里直接有这样的双重形式。由于数是外延大小,它就是一个数目;但是假如它过渡到内涵的大小,因为杂多在这种统一体中消融为单纯,它就也是一、一十、一百。一是自在的外延的大小,它可以被设想为任何数目的部分。所以十分之一、百分之一都是这种单纯的、内涵的东西,它是在它以外的多数那里,即在外延的东西那里,有它的规定性。一个数是十、百,同时在数的体系中,它也是十分之一、百分之一;两者都是同一的规定性。
圆中的一叫做度数,因为圆的部分本质上是以在它以外的多数为其规定性,被规定为一个封闭的数目的诸一的一个。圆的度数,作为单纯的空间大小,只是一个普通的数;作为度数来看,它是内涵的大小,这个大小只有由圆所划分的度数的数目来规定,才有意义,正如一般的数只是在数的系列中才有意义一样。
一个较具体的对象的大小,在其实有的双重的规定里,表现了既是外延的又是内涵的两个方面,对象在一个方面,出现为外在的,在另一个方面出现为内在的。譬如一质量(Masse),作为重量,它是外延的大小,因为它构成斤、百斤等数目;它又是内涵的大小,因为它施加一定的压力,而压力的大小是一个单纯的东西,是一个度数,在压力的度数表上,有它的规定性。质量施加压力,就像是一个内在之有(In-sich-Sein),一个主体,它宜于有内涵的大小区别。反过来说,施加这种压力度数的东西,能够将斤、两等一定数目移动位置,并且以此来测量它的大小。
也可以说,热有一个度数;温度无论是第十度、第二十度等,它总是一个单纯的感觉,一个主观的东西。但是这个度数同样也是作为一种外延大小而呈现的,是一种液体(如寒暑表中的水银)、气体或声音等等的广延。较高的温度表现为较长的水银柱或较狭的透气筒;它加热于较大的空间,正如较小的度数以同样方式只加热于较小的空间。
较高的声音,作为较强的声音说,同时也是较大数量的振动;或者说较响的声音(我们说它有较高的度数)使它自己在较大的空间可以听到。同样,用较强的颜色,可以比用较弱的颜色染更大的面积;或者较鲜明的东西,这个另一种强度[内涵],比较不鲜明的东西在更远的地方可以看见等等。
同样,在精神的事物中,品格、才干、天才等很高的内涵也有包罗宏富的实有,广泛的影响,多方面的接触。最深刻的概念也有最普遍的意义和应用。
康德搞了一种独特的办法,把内涵定量的规定应用于灵魂的形而上学的规定。在批判灵魂的形而上学的命题时(他把这些命题叫作纯粹理性之误谬推理),他考虑到从灵魂的单纯性来推论灵魂不灭。他反对这种推论,说(见《纯粹理性批判》第414页)(12):“即使我们因为灵魂并不含有相互外在的杂多的东西,也就是并不含有外延的大小,承认了灵魂有这种单纯的本性,但是对于灵魂,却仍然和对任何存在着的东西一样,不能否认其有内涵的大小,即不能否认有关灵魂一切能力的实在性,甚至构成其存在的一切都具有一种度数,这种度数可以通过一切无限多的更小的度数而减少;所以这种臆想的实体,虽然不是由于解体,而是由于它的力量的消散(衰退remissio)可以转变为无。因为纵使是意识,它也在任何时候都有一个度数,这个度数总还是可以减少的。有其自觉的能力既是如此,一切其余的能力也是如此。”(13)在理性的心理学中,正如这种抽象的形而上学过去那样,灵魂将不被看作精神,而被看作只是一个直接有的东西,一个灵魂事物(Seelending)。所以康德有权利把定量的范畴,即内涵定量的范畴,对它应用,就“和对任何存在着的东西一样”,只要这种有的东西被规定为单纯的。当然,“有”(Sein)也是属于精神的,但是精神这种“有”的内涵,却与内涵定量的内涵完全不同;仅仅直接的有及其一切范畴的形式,在精神的内涵之中,不如说都扬弃掉了。这不仅必须承认要除去外延定量的范畴,而且要除去一般定量的范畴。还有一点必须要认识的,那就是实有、意识、有限性等在精神的永恒本性中是怎样的,而且是怎样从那里发生而精神却并未因此而变成一件东西。
外延与内涵定量的区别,对定量规定性本身,是漠不相关的。一般说来,定量就是建立起来的规定性又被扬弃了,是漠不相关的界限,这种规定性同样也是自身的否定。这种区别在外延的大小中发展了,但是内涵的大小却是这种外在性的实有,这种外在性就是在自身中的定量。这种区别被建立为自身的矛盾,即:必须是单纯的自身关系的规定性(这种规定性就是自身的否定),并且不是在这个规定性那里而是在另一定量中有其规定性。
所以一个定量,按照它的质,是在绝对连续性中与它的外在性,即与它的他有一齐建立起来的。因此不仅是定量可以超出任何大小规定性,不仅是大小规定性可以变化,而且定量之所以建立起来,就是因为大小规定性必须变化。因为大小规定只是与一个他物同在连续性中才具有它的有,所以它是在它的他有中继续自身;它不是一个有的界限,而是一个变的界限。
“一”是无限的,或说是自身相关的否定,因此是自己对自己的排斥。定量也同样是无限的,被建立为自身相关的否定性;它自己排斥自己。但定量是一个规定了的一,是那个过渡为实有和界限的一,所以是规定性自身的排斥;这种排斥不像一的排斥那样产生自身相等的东西,而是产生它的他有;于是定量在它自身那里建立起来,超出自身,变成他物。定量之构成,就在于自身的增加或减少;它是在它自身那里的规定性的外在性。
于是定量自己超出自己;它所变成的他物,首先本身也是一个定量;但这个定量也同样不是一个有的界限,而是推动自己超出自己的界限。这个超出而重又产生的界限,绝对只是一个这样的界限,即它重又扬弃自身,走向另一个更远的界限,如此以至于无限。
定量自身变化并变成另一定量;这种变化前进到无限的进一步规定,就在于定量是作为自身矛盾被提出来的。——定量变成一个他物;但又在它的他有中继续自身,这个他物仍然是一个定量。但是这个定量不仅是一个定量的他物,而且是定量本身的他物,是它作为一个立了界限的东西的否定物,从而也是它的没有界限,它的无限。定量是一个应当(Sollen);它包含着必须是自为的规定,这种自为的规定又不如说是在一个他物中被规定的;反过来说,它是在一个他物中扬弃了的规定,是漠不相关的自为的持续存在。
有限和无限两者,都同样由此而保持在自身那里的双重的、并且诚然是对立的意义。定量是有限的,第一,它是作为一般的立了界限的东西,第二,它是作为对自身的超出,作为在一个他物中的规定。而定量的无限,则第一是它不曾立界限,第二是它回复到自身,是漠不相关的自为之有。现在我们将这两种环节互相比较,便可以看到,超出自身而到他物,定量的这种有限性的规定,同时也是无限的规定,定量的规定就在这种超出之中。界限的否定与超出规定性是同一回事,所以定量以这种否定、这种无限,为它的最后的规定性。无限的另一环节是对界限漠不相关的自为之有;但定量是这样的立了界限的东西,即:定量对它的界限说来,从而也是对其他定量和对自己的超出说来,都是自为的、漠不相关的东西。有限和(应当与有限分离的、坏的)无限,就定量说,每一个都已经在自身那里有了另一个的环节。
质和量的无限物,其区别是由于在前者,有限物和无限物的对立是质的对立,而且从有限物到无限物的过渡,或说两者的相互关系,只是在自在中,即在它们的概念中。质的规定性是直接的;它与他有的关系,本质上是与它自己的另一个“有”的关系;它不是要在自身那里有其否定或他物而建立的。反之,大小本身则是扬弃了的规定性;它之建立是与自己不相等,并且对自己漠不相关,因而是可变化的东西。因此,质的有限物和无限物是绝对对立的,即抽象对立的;它们的统一是以内在关系为基础;因此,有限物之继续自身,只是在自己之中,不是在自己那里,在自己的他物中。反之,量的有限物,在自身那里与自身的关系,却是在它的无限物那里;它在无限物那里,有它的绝对规定性。它的这种关系,首先表现了量的无限进展。
无限进展,一般说来,是矛盾的表现,而这里则是量的有限物或一般定量所含矛盾的表现。这种进展是有限物和无限物在质的范围内曾经考察过的相互规定;不过却有区别,正如方才说过,在量的事物中,界限本身超出并继续超出自身之外,所以反过来,量的无限物也是在自身那里具有定量而建立的;因为定量在它的自身外在之中,同时就是它本身,它的外在性也属于它的规定。
不过,无限进展只是这种矛盾的表现,不是这种矛盾的解决;但是由于从一个规定性连续到另一规定性的缘故,无限进展以这样两个规定性的联合,导致了一个似是而非的解决。正如无限进展首先被建立起来那样,它只是无限物的课题,并不是无限物的达成:它是无限物的不断产生,而没有超出定量本身,并且这个无限物也不会变成肯定的、当前现在的东西。定量在它的概念中就有着一个自己的彼岸。这个彼岸第一是定量的非有(Nichtsein)这一抽象的环节;定量自在地消解了;这样,定量就对立的质的环节说来,它自身与它的彼岸相关也就正如它自身与它的无限性相关那样。其次,定量又是与这种彼岸一起在连续之中的;定量之构成,正在于它是自己的他物,对自己本身是外在的;于是这种外在的东西,也不是别的,而正是定量;所以彼岸或无限物本身就是一个定量。彼岸就是以这种方式,由逃跑而被召唤回来,而无限物也就达到了。但是因为这个变成此岸的东西仍又是一个定量,现在建立起来的不过是一个新的界限;这个新界限,作为定量,又从自身那里逃跑;作为定量,它就超出自身,并排斥自身,到自己的非有中,自己的彼岸中去,彼岸之不断变成定量,也和定量之不断自己排斥自己到彼岸去一样。
定量在它的他物中的连续,使两者(14)的联合,表现为无限大或无限小。因为无限大和无限小在自身那里仍然有定量的规定,它们还是可变化的,没有达到可以是自为之有的那样绝对的规定性。在这种双重性的、依据较多和较少而对立的无限物中,即无限大和无限小中,规定的这种外在的有(Aussersichsein)建立起来了。定量无论在无限大或无限小那里,都与彼岸不断对立而保持下来了。大,无论怎样扩张,都将缩小到微不足道;因为它与无限物的关系就和与它的非有的关系一样,这种对立是质的对立;所以扩张了的定量并未从无限物取得什么东西;无限物在以前和以后都同样是定量的非有。或者说,定量的增大并不更接近无限物;因为定量及其无限性的区别,本质上有一个不是量的区别的环节。这只是使矛盾的表现更加突出;无限大作为大,应该是一个定量,而无限又应该不是定量。同样,无限小,作为小,也是一个定量,因此对无限物说来,它仍然是绝对地太大了,即就质而言,是太大了,并且与无限物是对立的。无限进展的矛盾在无限大和无限小两者之中都保持下来,进展应该在两者那里找到它的目标。
这种无限性,作为有限物的彼岸而被牢固地规定了,它应该被称为坏的量的无限性。它和质的坏的无限性一样,从长在的矛盾的一环到另一环,从界限到界限的非有,又从这个非有回到同样的东西——即又回到界限,这样不断地往返交替。在量的进展中,那个向着这种进展而前进的东西,固然不是一般的抽象的他物,而是不同的、建立起来了的定量;但是它却以同样的方式,与它的否定对立。因此,进展也同样不是什么前进和进展,而是建立、扬弃、再建立、再扬弃的循环往复,是否定物的软弱无力;它所扬弃的东西,由于它的扬弃,又作为连续的东西回来了。两件事物是这样联结起来的,即它们绝对彼此逃避开,并且因为彼此逃避开而不能分离,却在彼此逃避开之中联结起来了。
坏的无限,尤其是量的无限进展的形式,——即继续飞越界限而无力扬弃界限,并不断回到界限,——常被认为是某种崇高的东西,一种神圣的供献;在哲学中,这种进展同样也被看作是一个最后的东西。这种进展曾多方面供浮夸词藻之用,这些词藻每每被惊叹为崇高的作品。但是这种时髦的崇高,事实上并没有使对象伟大,倒不如说使对象逃掉了,它只是使主体吞噬掉这样巨大的量。这种在量的阶梯上升的高扬,仍然是主观的;在劳而无功之中,它自己承认并不更接近于这个无限的目标,它的贫乏也由此可见,若要达到目的,当然须另作打算。
在下面这类浮夸词藻里,立刻就表现出这样的崇高会走到那里,止于何处。譬如康德所谓的崇高(《实践理性批判》结束语),(15)
“假如主体以思想使自身高扬于它所占据的感性世界的地位之上,将联系扩张到无限大,——联系到星辰以外的星辰,世界以外的世界,天体体系以外的天体体系,而且它们的周期运动,它们的开始和延续,在时间上也是无涯无际的。最远的世界总也还有一个更远的世界,无论回溯到多么远的过去,后面也总还有一个更远的过去,无论前推多么远的将来,前面也总还有一个更远的将来;想象穷于这样不可测度的遥远的前进,思想也穷于这样不可测度的想象;像一个梦一样,一个人永远漫长地看不出还有多远地向前走,看不到尽头,尽头是摔了一跤或是晕倒下去。”
这种表达除了把量的高扬的内容压缩为描绘的丰富而外,值得称赞的地方,主要是它真实地指出了这种高扬如何终结:思想是穷了,终结是摔了一跤或晕倒下去。使思想穷而至于摔了一跤或晕倒下去的,不是别的,只是一个界限消灭了,又起来,又消灭,这种重复的厌倦,彼和此,彼岸和此岸,相互不断生灭,有的只是无限物想要主宰有限物而又不能主宰有限物那种软弱无力之感。
康德所称使人战栗的,哈莱(Haller)对永恒的描写,也常常特别受人惊叹,但是受到惊叹的却恰巧每每不是真正值得惊叹的那一方面:
“我将时间堆上时间,世界堆上世界,
将庞大的万千数字,堆积成山,
假如我从可怕的峰巅,
晕眩地再向你看,
一切数的乘方,不管乘千来遍,
还是够不着你一星半点;
而我剥掉一切乘积,
你便全然现在我的面前。”
假如把数和世界堆积成三山五岳,以为这就够得上描绘永恒,那就会忽视了诗人自己已经说出这种所谓使人战栗的超越,是某种白费事而空洞的东西,也忽视了他因此结论说:只有放弃这种空洞的无限进展,才能使真正的无限物呈现在他的面前。
有些天文学家之所以为他们的科学的崇高而高兴,是因为这门科学研究不可测度的繁多的星辰,研究那样不可测度的空间和时间,——距离和周期无论本身已经怎样大,用为单位,在这样的空间和时间之中,即使乘上多少倍,仍旧是缩小到微不足道的。他们对这种情形流连于惊诧,他们希望从一个星球旅行到另一星球那样的生活,以及从不可测度的地方去获得那一类不可测度的新知识。他们以为这种浅薄的惊诧和这种无聊的希望,构成了他们的科学主要优越之点,——这个科学之所以值得惊异,并不是因为这样的量的无限,而是恰恰相反,因为理性在这些对象中认识到尺度关系和规律,并且这些对象就是理性的无限与那非理性的无限相对立。
康德用另一种无限来与那种有关外在感性直观的无限相对立,即,假如“个体回到他的看不见的自我;他的意志的绝对自由,作为纯粹的自我,与命运和暴政的一切恐怖对立;从纯粹自我最近的周围一开始,这些恐怖便自行消失;这个自我也同样使那似乎牢固的东西,世界复世界,毁为废墟,并且孤独地认识自己等于自己。”(16)
自我在这种自己的孤独中诚然就是那个已达到的彼岸;它到了自己那里,是在自己那里,在此岸;绝对的否定性,在纯粹自我意识中,成了肯定和现在,而它在超过感性定量的前进之中却只是逃跑。但是这种纯粹自我既然是抽象而无内容地把自己固定起来,那么它也就是把一般的实有,即把自然和精神宇宙的充实内容作为彼岸,和自己对立起来。它表现了为无限进展之基础同样的矛盾,即回复到自身而同时又直接外在于自身,对它的他物的关系也就是对它的非有的关系;这种关系终于仍旧是一种企望,因为自我一方面把自己的无内容而又站不住的虚空固定下来,另一方面又把在否定中仍然现在的充实内容固定为它的彼岸。
康德对这两种崇高加了注解,他说:“对(第一种外在的)崇高的惊叹和对(第二种内在的)崇高的敬畏固然能激起研究,但不能代替研究的缺乏。”(17)所以他说那些高扬的情绪是不能满足理性的,理性不能停留在那些情绪及其相连的感觉上,也不能把彼岸和虚空当作是最后的东西。
但是这种无限进展主要是应用在道德上,被当作最后的东西。方才所举的第二种有限与无限物的对立,作为丰富多彩的世界与提高到自由的自我之间的对立,首先是质的对立。自我在规定自己时,既要规定自然,又要使自身摆脱自然而自由;所以它是由自身而与他物有关;这个他物,作为外在的实有,既是丰富多彩的,也是量的。对量的东西的关系,自身也将变成量的东西;因此,自我对量的否定关系,自我对非我、即对感性和外在自然的威力,将被设想成这样,即道德可以并应当愈加增大,而感性的威力则愈加减小。但是意志对道德规律之完全适合性却将被移到无限进展之中,即被想象为一个绝对到达不了的彼岸,正因为它是到达不了的东西,它才是真正的归宿和安慰;因为道德应该是斗争;而斗争又是在意志不适合规律的情形之下才有的;因此规律绝对是意志的彼岸。
自我与非我,或说纯意志和道德规律与自然和意志的感性,在这种对立中,被假定为彼此完全独立、漠不相关的。纯意志有它的特殊规律,这种规律与感性有本质的关系;另一方面,自然和感性也有其规律,这些规律既不是从意志得来,不符合意志,而且虽然与意志不同(18),本身也与意志并没有本质的关系,它们根本是为自己而规定的,自身是完成而完满的。但这两者(19)又都是同一个单纯事物(自我)的环节;意志被规定为与自然对立的否定物,意志之所以是意志,仅仅是因为有一个与它不同而又被它扬弃的东西,但是意志扬弃自然之时,也接触到、甚至感受了自然。对自然说来,对它作为人的感性说来,对它作为独立的规律体系说来,由于他物而有的限制,与它是不相干的;即使在它有了界限的时候,它仍然保持自身而独立地进入关系之中,它之为规律的意志立界限,也和意志之为它立界限一样。意志规定自己而扬弃自然这个他有,后者被当作是实有的,在被扬弃之中自身仍然延续而没有扬弃;意志的规定和扬弃,是一个动作。其中所含的矛盾不会在无限进展中解决,而相反地被表现为并被认为不曾解决,并且不能解决;道德与感性的斗争将被设想为自在而自为的绝对关系。
无力主宰有限和无限物的质的对立,无力把握真正意志的理念或说实质的自由,便会逃往大小那里去,用大小作中介;因为大小是扬弃了质,变成了漠不相关的区别。但是对立的两端既然根本上仍有质的不同,那么,由于它们彼此的关系犹如定量的关系,因此,每一个也就被当作是对这种变化漠不相关。自然被自我规定,感性被善良意志规定,由此而产生的变化只是量的区别,这样的区别让自然和感性仍旧是自然和感性。
费希特的《知识学》,对康德哲学,至少是对它的原则,作了更抽象的表述,在那里,无限的进展同样成了基础和最后之物。随着这样表述第一条原则,自我=自我,而来的,是与第一条各自独立的第二条原则,非我的对立;自我和非我两者的关系也立刻被认为是量的区别,非我一部分是由自我规定,一部分则不是。非我以这样的方式仍然在它的非有中继续,以致它在它的非有中仍然是未被扬弃而对立的。因此,在这里所含矛盾发展成为体系之后,最终的结果也就是曾经是开始的那种状况;非我仍然是一个无限的抵触(Anstoss),是一个绝对的他物。非我和自我彼此间的最后关系是无限进展,是企望和向往,是开始就有的同一矛盾。
因为量的东西是被当作扬弃了的规定性,所以当对立一般被降低到一个仅仅是量的区别时,人们以为这样便为绝对的统一,为一个实体性,获得了许多东西,甚至一切的东西。凡对立都只是量的对立,这在某些时候成了近代哲学的主要命题;对立的规定具有同一的存在物,同一的内容,它们是对立的实在的两方面,因为每一方面都具有对立的两种规定,两种因素,只不过一种因素在一方面占优势,另一种因素在另一方面占优势,或者说一种因素、物质或活动在这一方面比在另一方面有较大的数量或较强的度数。既然假定有不同的诸多物质或活动,那还不如说量的区别证实并完成了这些物质或活动的外在性与它们彼此间和它们对自己的统一都漠不相关。绝对统一的区别应该只是量的区别;量的东西固然是扬弃了的直接规定性,但却是不完全的,才是第一次的否定,不是无限的否定,不是否定之否定。有和思维既然被想象为绝对实体的量的规定,所以它们作为定量,也就彼此是全然外在而无关系的,像在低级范围的碳和氮等一样。一个第三者,外在的反思,抽掉它们的区别,认识它们的(仅仅是自在之有的、还不是自为之有的)那种内在的统一。因此,这种统一事实上将仅仅被设想为最初的、直接的统一,或说是有,它在量的区别之中仍然与自身相等,但不是由自身而建立为与自身相等;于是它并未被理解为否定之否定或无限的统一。(20)只是在质的对立中,才出现了建立起来的无限,出现了自为之有,而量的规定本身也就过渡到质的东西,这在下面将有较详细的讨论。
前面已经提到过,康德的二律背反,是表达有限物和无限物的对立在较具体的形态中,被应用到想象的特殊负荷者。前面所考察的二律背反,包含着质的有限与无限的对立。在另一个,即宇宙论的四个二律背反的第一个,所考察的,则是在有限与无限的冲突中的量的界限。因此我愿在这里对这个二律背反加以研究。
这个二律背反涉及世界在时空中有没有界限。这种对立也可以就时空本身方面来考察,因为时空究竟是事物本身的状况或者是直观的形式,这对于在时空中有没有界限的二律背反,毫没有改变什么。
仔细分析这个二律背反,也同样表现出它的两个命题及其证明(这些证明也和前面考察过的证明一样,是用的反证法),不过是两种简单的对立的主张,即:有一个界限,和:必须超越界限。
正题是:
(21)“世界在时间上有一开始;就空间说,它也是封闭在界限之内的。”
证明中涉及时间的那一部分,先假定了反面,
“就时间而言,假如世界没有开始,那么,达到每一已知的时间点,一定都已经过了一个永恒时间,因而在世界中已经流过了事物彼此继续状态的无限系列。但一个系列之所以是无限,又恰恰在于它永远不能由继续的综合来完成。所以说已经流过了一个无限的世界系列是不可能的,因而世界的开始是世界存在的必要条件——这就是所要证明之点。”(22)
证明中涉及空间的另一部分也归结到时间。一个在空间中是无限的世界,综合它的部分需要一个无限的时间;由于在空间中的世界不被看作是一个正在变的东西,而是一个已经完成了的东西,所以这个时间就必须被认为是已经流过去了。但是关于时间在证明中第一部分已经指出,把一个无限的时间当作已经过去了,是不可能的。
(23)但是人们立刻看到这并不需要用反证法来作证明,甚至根本不需要证明,因为应当证明的东西,已直接包含在证明本身之内,作主张的基础了。这就是假定到任何或每一已知的时间点已经过了一个永恒时间(永恒在这里只有坏的无限时间的琐屑意义)。一个已知的时间点不过是时间中一定的界限。于是一个时间的界限在证明中被假定为真实的界限,而这正是应当证明的东西。因为正题是:世界在时间上有一开始。
那里只有一个区别,即被假定的时间界限是作为以前流过去的时间的终结那样的一个现在,而待证明的时间界限则是作为一个未来的开始这样的一个现在。但是这一区别是不重要的。现在被假定是一个点,在这一点,应该有世界中事物彼此继续的状况的一个无限系列流过去,即被假定是终结、是质的界限。假如这个现在只被看作是量的界限、是流动的,不仅要超出界限,而且界限正是这个要超出自身的东西;那么,在这界限里的无限时间系列就不是流过去了,而是向前继续流动,而证明的论据也就垮了。另一方面,假如这个时间点被认为是对过去的质的界限,但是这样一来,它同时又是对于未来的开始——因为每一时间点,本身就是过去和未来的关系,——对于这个未来,它甚至是绝对的或抽象的开始,那就是应该加以证明的东西。至于在这个时间点的未来和未来的开始以前,便已经有了一个过去,那倒是与事实并不相干的;因为这个时间点是质的界限——假定它是质的界限,这就含有已经完成,已经过去,即自身不再延续的那种规定,——所以时间在那里便中断了,那个过去便与这个时间并无关系,这个时间只有从那个过去看来,才能够叫做未来;因此,没有这样的关系,它便只是一般时间,便有了绝对的开始。但是,假如情形是这样,即时间通过现在这一已知的时间点而与过去有了关系,那么,它就会被规定为未来,于是从另一方面看来,它便不是界限,无限的时间系列还在所谓未来中继续着,而不是如假定的那样已经完成。
真正说来,时间就是纯量,证明中所用的时间点,时间应该到那里中断的时间点,倒不如说只是现在的扬弃自身的自为之有。证明所做的事,不过是把正题所主张的时间绝对界限描绘成一个已知的时间点,并且干脆把它假定为完成了的、即抽象的点,——这是一个通俗的规定,感性的想象容易把它当成界限;这样一来,(24)以前提出来要加以证明的东西,却在证明中当作假定了。
反题说:
“世界没有开始,在空间中也没有界限,无论就时间看或就空间看,都是无限的。”
证明也同样假定了反面:
“假如世界有一个开始。开始既然是一种存在,而在那以前,先有一个时间,其中并没有事物,那么,这就必须已经先过了一个时间,其中并不曾有过世界,这就是一个空虚的时间。但是任何事物都没有在空虚的时间中发生的可能;因为这样的时间,没有一部分比另一部分本身具有与非存在条件不同的任何存在条件。世界中事物的某些系列固然可以有开始,但是世界本身却没有开始,而就过去时间看来是无限的。”(25)
(26)这个反证法的证明,与其他证明一样,也包含着对它所应证明的东西,作直接而未经证明的主张。它先假定一个世界存在的彼岸,即一个空虚的时间,然后这个世界的存在又同样超出自身进入这个空虚的时间而延续自身,因此扬弃了这个空虚的时间,又无限地继续这个存在。世界是一个存在;证明假定:这个存在发生了,并且发生又有一个在时间上先行的条件。但是反题本身就恰恰在于:并没有无条件的存在,没有绝对的界限,世界存在总是要求有一个先行的条件。于是需要证明的东西便在证明中已经是假定了。以后又在空虚的时间中找寻条件,这个过是说条件被认为是有时间性的,也就是存在,并且是有限制的存在。总之,假定是这样造成的,即:世界作为存在须以另一在时间中的有条件的存在为前提,如此等等以至无限。
关于世界在空间中的无限性,其证明也是一样。用反证法先说世界空间的有限;“于是世界便处在一个空虚的、没有界限的空间之中,并与这个空间有了关系;但是世界和没有对象的这样的关系只是虚无而已。”(27)
(28)这里应该证明的东西,同样也在证明中直接成了前提。这直接假定了:有界限的空间的世界应当处在一个空虚的空间之中并与它有关,这就是说必须超出这个世界,——一方面进入到空虚,到彼岸和世界的非有,但是另一方面,世界又与那里有关系,即是世界在那里仍然继续,从而必须想象那个彼岸是用世界的存在来充实的。反题所主张的世界在空间中的无限性,不外一方面是空虚的空间,另一方面是世界与空虚空间的关系,即世界在空虚空间中的继续,或说是空虚空间的充实;空间是空虚的、同时又是充实的,——这种矛盾就是存在在空间的无限进展。世界与空虚空间的关系,这种矛盾就在证明中直接成了基础。
正反命题及其证明因此不过是代表相反的主张,一是说有界限,而这界限也同样只是一个扬弃了的界限;一是说界限有一彼岸,但它又与彼岸有关系,必须超出界限去向那里,但是在那里一个不是界限的界限又产生了。
这些二律背反的解决,像前面的一样,是先验的,就是说解决在于主张空间和时间作为直观形式,是观念性的;这意味着世界本身并不自相矛盾,也不扬弃自己,只有直观中的和在直观与知性、理性的关系中的意识才是一个自相矛盾的东西。这种看法是对世界的柔情太过,要使矛盾远离世界,并将它移到精神中去,移到理性中去,任它在那里悬而不决。事实上,精神是如此其强,必然能够经得起矛盾,也懂得解决矛盾。但是所谓世界(它叫做客观的、实在的世界,或者依照先验观念论的说法,是主观的、直观和由知性范畴规定的感性),却无时无地免得了矛盾,但又经不起矛盾,所以便把自身付托与发生和消灭。
1.无限的定量,作为无限大和无限小,本身就是无限的进展。作为大或小,它是定量,同时又是定量的非有。因此,无限大和无限小只是想象的形象,仔细观察起来,那不过是虚无缥缈的朦胧阴影罢了。但是在无限进展之中,这种矛盾便在当前明显出现了;因此定量的本性,这个作为内涵大小而达到了实在性的东西,便和在它的概念中一样,在它的实有中建立起来了。必须加以考察的,就是这种同一性。
定量作为度数是单纯的、自身相关的、自身规定的。因为在定量那里的他有和规定性,都由于这种单纯性而被扬弃了,所以规定性对于定量是外在的;定量在它之外有它的规定性。它的这种外在的有,首先就是一般定量的抽象的非有,是坏的无限。但是进一步看来,这个非有也是一个大小;定量在它的非有中仍在继续,因为它正是在外在性中有其规定性;所以它的这种外在性本身也是定量;它的那个非有、那个无限之将变为有了界限,是这样的,即那个彼岸将被扬弃,本身也被规定为定量,于是这个定量便是在它的否定之中而仍旧在它自己那里。
但是这一点正是定量本身之所以是自在的东西。因为通过它的外在之有的,正是它自己;外在性所构成的东西,使定量在自己那里仍是定量。于是在无限进展中,定量的概念便建立起来了。
假如我们先如实地就定量的抽象规定来看定量,那么在定量中,当前既有定量的扬弃,又有它的彼岸的扬弃,即是既有定量的否定,又有这种否定的否定。定量的真理就是它们的统一,但是它们在这统一中却只是环节。这个真理就是进展所表现的矛盾之解决,其最确切的意义就是又树立了大小的概念,即大小是漠不相关的或外在的界限。在无限进展本身中所想到的,常常只是:每一定量无论多大或多小,都要消灭,即定量必须能够被超过;但却不想到定量的这种扬弃,或彼岸,或坏的无限,本身也要消灭。
定量是由第一次的扬弃,即一般的质的否定建立的,这种扬弃本身也已经是否定的扬弃,——定量是扬弃了的质的界限,所以也是扬弃了的否定,——但定量也只有自在地是这样;被建立起来,它便是实有,然后它的否定被固定为无限物,即定量的彼岸,而彼岸站在那里又作为此岸,作为直接的东西;所以这个无限物只被规定为第一次的否定,这样,它就表现为无限的进展。我们已经指出过,在这个无限进展中,呈现着更多的东西,即否定之否定或真的无限物。前面已经注意到定量的概念由此而恢复;这种恢复首先意谓定量的实有得到了更确切的规定;这就产生了依它的概念而规定的定量,与直接的定量不同;现在外在性成了它自己的对立物,被建立为大小本身的一个环节,——定量也这样建立起来了,即:定量借它的非有,无限为中介,在另一定量中有了它的规定性,即在质方面是定量所以是定量的那种东西。但定量的概念和它的实有相比较却是属于我们的反思,属于那种在这里还不是当前现有的比率。最切近的规定是定量回复到质,尔后在质方面被规定了。因为它的特性、它的质就是规定性的外在性和漠不相关;现在它之被建立,与其说是在它的外在性中,不如说就是它自身,它在它的外在性中与自身相关,与自身有了单纯的统一,即在质的方面被规定了。这个质的东西还被更确切地规定,即被规定为自为之有,因为它所达到的自身关系,是由中介、由否定之否定而发生的。定量不再是在它之外,而是在本身那里有了无限,有了自为的规定。
无限物在无限进展中,只有一个非有、一个被寻找而到达不了的彼岸的空洞意义,但事实上它不是别的,正是质。定量作为漠不相关的界限,超出自己,进入无限;它在那里所寻求的,不是别的,正是自为的规定,正是质的环节,但是这个自为的规定,这样却只是一个应当。定量对界限的漠不相关,因而缺乏自为之有的规定性并要超出自己,这就是使定量成为定量的那种东西;它的这种超出应该被否定而在无限中找到它的绝对规定性。
极其一般地说来:定量是被扬弃了的质;但定量又是无限的,它超出本身,是它自己的否定;所以这种超出,本身就是被否定了的质的否定,是质的恢复;而建立起来的是这样的东西,即外在性出现为彼岸,并被规定为定量自己的环节。
于是定量被建立为排斥自身的,从而有了两个定量,但是这两个定量却被扬弃了,只是一个统一体的环节,这个统一体就是定量的规定性。——定量这样在它的外在性中作为漠不相关的界限而与自身相关,于是便在质的方面被建立起来,这就是量的比率。——在比率中,定量是外在于自身的,与自己不同的;它的这种外在性是一个定量对另一定量的关系,每一定量都只是在与它的他物的关系中才有价值;这种关系构成定量的规定性,定量就是这样的统一体。定量在那里所具有的,不是漠不相关的规定,而是质的规定,它在它的这种外在性中回复到自身,在这种外在性中,定量就是它之所以是定量的东西。
(29)数学的无限一方面是很有兴趣的,因为它将引入数学,导致了数学的扩张和伟大的结果;另一方面又是很奇怪的,因为这门科学还没有能够用概念(真正意义的概念)来论证无限物的使用。论证到底是要依靠(用别的根据来证明的)借助于那种规定所得结果的正确性,而不是依靠对象和获致结果的运算的明显性,甚至运算本身倒被认为是不正确的。
这一点本身已经很糟糕;这样的一个办法是不科学的。这个办法也带来害处,即:当数学因为对于它的这个工具的形而上学和批判方面并不擅长,以致不认识这个工具的本性之时,数学就既不能规定其应用范围,也不能保证其不被滥用。
但是从哲学的观点看来,这个数学的无限之所以重要,因为事实上它是以真正无限的概念为基础,比通常所谓形而上学的无限高得多,人们就是从形而上学的无限出发,对真无限作了许多责难。面对这些责难,数学常常只晓得用抛弃形而上学的权威来自救,认为只要它一贯在自己的地基上行动,就与形而上学这门科学毫不相干,也不用理睬形而上学的概念。数学似乎无须考虑事物本身是什么,而只考虑事物在数学的领域内真的是什么。形而上学在与数学的无限相矛盾的时候,无法否认或取消使用数学无限的辉煌结果,而数学也搞不清自己的概念的形而上学,因此也搞不清那种使无限物的使用成为必须的方法的由来。
假如这是数学遭受到的一般概念的唯一困难,那么,它尽可不必多费周章,把这个概念放在一边好了,这就是说,由于概念比仅仅列出一事物的基本规定性、即知性规定要更多一些,而且数学对这些规定性并不缺少严密性;因为它这一门科学既不是和它的对象的概念打交道,也不是由于概念发展(即使仅仅是由于推理)而产生它的内容。但是在数学无限的方法里,数学对自己特有的方法本身,却发现了根本矛盾,而它之所以是科学,就依靠这种方法。因为对无限的计算,允许而且要求数学在有限大小运算时所必须完全抛弃的解法,同时数学又对这些无限的大小和有限的定量都一样处理,想应用对它们都有效的同样方法。为超经验的规定及其处理取得普通的计算形式,是这门科学成长的一个主要方面。
数学在不同运算的冲突中,表现出它由此而找到的结果,与用真正数学的、几何的、解析的方法所找到的,是完全一致的。但一方面并非一切结果都是这样,而引入无限的目的,也不仅仅在于缩短通常的路程,而是要达到用这些方法所不能导致的结果。另一方面,成果自身并不就验证了所采取的途径的方式有道理。但是无限的计算方式显出了以它被卷入貌似的不精确而遭到困难,因为它先以一个无限小量来增加有限的大小,而在以后的运算中,对这些大小又保留一部分,省略一部分。(30)这种解法的古怪之处,就是尽管承认了这种不精确,而所得的结果,却不仅是误差可以无须注意的大概或近似,而是完全精确。我们在结果以前的运算时,总不免想象有些定量不等于零,但是微不足道,可以不加注意。但是在我们所了解的数学规定性那里,一切精确性较大或较小的区别都完全抛掉了,正如在哲学中,所能谈到的,只有真理,而不是较大或较小的概然性。假如无限的方法及使用由于成果而得到辩护理由,那么,不管这个成果而要求对方法的辩护理由,这并不像问鼻子要使用鼻子的权利证明那样多余。因为数学知识之所以是科学的知识,主要就在于证明,至于结果,其情况也是如此,因为严格的数学方法并不是对一切都提供了成果的标记,而这种标记,无论如何,也只是外面的标记。
值得费些力量去仔细考察无限的数学概念,和有些很可以注目的尝试,那些尝试的意图在于论证这种概念的使用,消除方法所感到的很难受的困苦。在这个注释里,我要较广泛地从事考察对数学无限的论证和规定,这种考察将对其概念的本性投下最好的光明,也将指出这个概念如何浮现在这些论证和规定的面前并为它们立下基础。
数学无限的通常规定是:它是一个这样的大小,假如它被规定为无限大,那么在它以上就没有更大的;假如它被规定为无限小,那么在它以下也没有更小的;或者说在前一种情形,它比任何大小都更大,在后一种情形,它比任何大小都更小。这个定义当然并没有表现真概念,倒不如说是像以前已经说过的无限进展中的那个同样矛盾。但是我们还是看看那里所包含的东西本身是什么吧。数学为一个大小所下的定义是:大小是某种可以增加和减少的东西,——一般说来,这就是一个漠不相关的界限。现在无限大或无限小既然是这样一个不再能增加或减少的东西,那么,事实上它也就不再是定量本身了。
这一结论是必然的、直接的。但是定量(我在这个注释中如实地称一般定量为有限的定量)被扬弃这种不常有的想法,却为普通理解造成困难,因为定量既然是无限的,那就要求设想它是被扬弃了的,是一个已非定量而仍然留有它的量的规定性那样的东西。
这里我们引证一下康德对这种规定是如何判断的。(31)他发现这种规定与人们所了解的无限的整体并不一致。“根据普通概念,一个大小,假如不可能有更大的超过它时(即超过其中所包含的一定单位的数量),它就是无限的;但是没有一个数量是最大的,因为总可以再加添上一个或多个的单位。——另一方面,通过一个无限的整体,也不会想象出它有多么大,所以它的概念不是一个最大限度(或最小限度)的概念,而是通过无限的整体来设想它与一个任意采取的单位的关系,就单位而言,无限的整体比一切数都更大。无限物随着所采取的单位较大或较小而较大或较小;但是无限物,因为它的存在仅仅由于与这种已知单位的关系,却永远仍然是一样的,尽管整体的绝对大小当然完全不会由此而知道。”(32)
康德斥责把无限整体看作一个最大限度,看作一定单位的已完成的数量。最大限度或最小限度本身总还像是一个定量或数量。这样的观念无法避免康德所举出的后果,会引致较大或较小的无限物。一般说来,既然把无限物想象成定量,那么,较大或较小的区别也就仍然会对无限物有效。但是这种批评,对于真的数学无限物的概念,无限差分的概念,却是无的放矢,因为无限差分已不再是有限的定量了。
康德的无限概念,恰恰与此相反。他所谓的真的、先验的概念,是“测量一定量时永远不能完成单位的继续综合”。(33)这是假定了一个一般的定量作为已经给予的;它应该由于单位的综合而成一个数目,一个被确定指明的定量,但是这种综合又永远不能完成。(34)这里所表示的,显然不过是无限进展,只是被想象为先验的,即本来是主观的、心理的罢了。就本身说,定量诚然应该是完成了的,但是就先验的方式说,即在主观中(主观给它一个与单位的关系),却只发生了一个这样的定量的规定,它没有完成而绝对带着一个彼岸。所以这仍然是停留在大小所包含的矛盾里,但是这个矛盾却被分配给对象和主体了;对象得到的是订立界限,主体得到的是超出主体所把握的每一规定性而进入坏的无限。
另一方面,前面已经说过,数学无限物的规定,如高等分析中所使用的,诚然与真的无限概念符合,现在却应当对这两种规定的比较,作更详细的阐释。关于真的无限的定量,首先就是它自己规定本身是无限的。它之所以如此,因为正如以前看到过的,有限的定量(或者说一般定量)和它的彼岸,即坏的无限,都同样被扬弃了。扬弃了的定量因此回复到单纯性和自身关系,但是这不仅仅像外延定量那样,因为当外延定量过渡到内涵定量之时,内涵定量只是本身在外在的杂多中才有其规定性,但对于规定性既应当漠不相关,又应当有差异。无限的定量则是在它那里含有(1)外在性,(2)这种外在性的否定;所以它不再是任何有限的定量,不再是一个以定量为实有的大小规定性,而是单纯的,因此只是环节。无限的定量是一个在质的形式中的大小规定性;它的无限性必须是一个质的规定性。这样,作为环节,它本质上是在和它的他物统一之中,只有通过它的这个他物,才是被规定了的,即它只在对一个同它处于比率中的东西有关系时,才有意义。在比率之外,它就是零;——因为定量本身对比率应当是漠不相关的,而在比率中却应当是一个直接的、平静的规定。它在比率中只作为环节,便不是一个自为的漠不相关的东西;由于它同时又是一个量的规定性,所以它在作为自为之有的无限性中,只是一个为一(Für-Eines)的东西。
无限物的概念,这里还只是抽象地展示出来;假如我们把定量当作一个比率环节,观察它所表现的各个阶段,从它同时还是定量本身这一最低的阶段起,直到它获得无限大小的真正意义和表现这种较高的阶段为止,那么,无限物的概念就将显出是为数学的无限物奠立基础,它的本身也将更为明白。
我们试先取一个比率中的定量,如一个分数。例如2⁄7这个分数,它并不像1,2,3等等定量,它固然是一个普通的有限的数,但不是一个直接的数,如整数那样,而是由两个其他的数间接规定的分数;那两个数互为数目和单位,而单位也是一确定的数目。但是假如将这两个数相互的密切规定抽掉,只就现在它们在质的关系中恰巧是定量这一点来观察,那么,2和7在另外的地方就是漠不相关的定量;但是在这里,由于它们仅仅出现为彼此的环节,从而第三者(即被称为指数的定量)也出现了,所以它们并不是立刻被当作2和7,而只是依照它们的相互规定性才能有效。因此可以同样用4和14,或6和21等等以至无限来代替它们。这里,它们开始有了质的特性。假如它们被当作只是定量,那么2和7便是:一个绝对只是2,另一个绝对只是7;4,14,6,21等等也都绝对与这个数不同,而以上等等数既然只是直接的定量,它们也就不能够彼此代替。但是2和7既然依照规定性,不被当作是这样的定量,那么,它们的漠不相关的界限便扬弃了。于是从这一方面看来,它们便包含了无限性的环节;因为它们不仅不再是它们本身,而且它们的量的规定性仍然保留,但是又作为一个自在之有的质的规定性而保留——即依照它们在比率中的值。可以用无限多的别的数来代替这两个数,而分数则由于比率所具有的规定性,其值并不改变。
但是分数所表现的无限性仍然还不完全,这是因为分数的两项2和7可以从比率中取出来,而它们这样便是普通的漠不相关的定量;至于它们既是在比率中又是环节,这种关系对它们说来倒是某种外在的、漠不相关的东西。它们的关系本身也同样是一个普通的定量,即比率的指数。
普通算术运算所用的字母,是提高数到普遍性的第一步,字母并没有一定数值的那种特性,只是每一确定值的一般符号和不确定的可能性。因此分数2⁄7像是无限物的较适合的表现,因为a和b从它们的相互关系取出来,仍然是不确定的,即使分离以后,它们也没有自己的特殊的值。这两个字母固然被当作不确定的大小,但其意义却是它们可以是任何一个有限的定量。这样,它们诚然是一般的想象,但又只是确定的数的想象,既然如此,它们之在比率中这一点,于它们说来,是不相干的;它们在比率外,也保持这个值。
我们更仔细观察一下比率中所呈现的东西是什么,那么,在比率中就有两个规定,一是一定量,二是这个定量不是直接的,而是其中有质的对立;它之所以在比率中仍然是确定的、漠不相关的定量,因为它从它的他有、从对立回复到自身,从而是无限物。这两种规定,以下面的大家熟知的形式来表现它们的相互区别的展开。
2⁄7这个分数可以表示为0.285714……,
这个分数可以表示为1+a+a2+a3+……等等。这样,分数就是一个无限的系列;分数本身意谓着这个系列的总和或有限的表现形式。比较一下这两种表现形式,那么,无限系列那一种表现形式就是不再把分数表现为比率,而是依照这样的方面来表现它,即分数作为一定数量的彼此相加的东西,作为数目,是定量。至于这些大小应该把分数作为数目来构成,而本身又是由十进位的分数、即由比率而成,那却与这里的问题无关;因为这种情况所涉及的,只是这些大小的特种单位,而不是构成数目那样的大小;正如由多数符号构成的十进位系统的一个整数,本质上被当作数目,而并不管它是由一个数和十这个数及其方幂的乘积所构成的那样。所以这个问题也不在于除我们所举的例2⁄7以外,还有其他造成十进位分数的分数,并没有发生无限的系列;每一个分数都可以用与此不同的单位的数的体系来表示。
无限的系列应该把分数表现为数目,现在分数的比率方面既然在这个无限系列中消失了,那么,以前指出过的,分数从比率得到无限性的那一方面也就消失了。但是这样无限性却以另一种方式进来了;系列本身就是无限的。
系列的无限属于哪一类,现在也是很明显的;这是进展的坏的无限。系列包含并表现着矛盾,那就是它要把比率和其中具有质的本性这样的东西,表现成一个没有比率的东西,一个单纯的定量或数目。其结果是:系列中表现的数目总是缺少了一点什么东西,以致为了达到所要求的规定性,总是必须超出已经建立的东西。进展的规律是大家熟知的,它就在分数所包含的定量规定中和应当表现这种规定的形式的性质中。数目固然可以由系列的继续延长,使其需要多么精密便有多么精密;但是由系列所表现出来的,仍然永远只是一个应当;这种表现总是带着一个扬弃不掉的彼岸,因为把一个依靠质的规定的东西表现为数目,就是一个永存的矛盾。
无限系列中现实当前的那种不精密,在真的数学无限里却只是表面现象。这两类数学的无限,和两类哲学的无限一样,绝不可以混淆。表现真的数学无限物,早就开始用过系列的形式,甚至近来也重又引用。但是这种形式对它并不是必要的;恰恰相反,下面将会指出无限系列的无限物与那种真的数学无限物有本质的区别。无限系列不如说是比分数的表现形式甚至还要低下一些。
无限系列包含着坏的无限,因为系列所应该表现的东西,仍然是一个应当,而它所表现出来的东西,又带着一个不会消失的彼岸,与它所应该表现的东西不同。无限系列之所以是无限的,并非为了被建立起来的各项的缘故,而是因为这些项不完全,因为有一个本质上属于这些项的他物,是它们的彼岸;建立的项无论愿意怎么多,便怎么多,而系列中实有的东西却仍然只是一个有限物,就真正的意义说来,是被建立为有限物,即它不是它应该是的那样的东西。与此相反,这种系列的所谓的有限的表现形式或总和却并没有欠缺;它所包含的值是完全的,而系列却只是在寻找这个值;彼岸从逃跑中被召回来了;这种表现形式是什么和它应该是什么并没分离,而是同一的东西。
这两者区别所在,较确切地说,就是:在无限系列中,否定物是在它的各项之外的,这些项仅仅由于被当作数目的部分而当前现在。与此相反,有限的表现形式是一个比率,否定物在这个形式中,作为比率两端的相互规定,是内在的,这个相互规定回归到自己,是自身相关的统一,是否定之否定(比率两端都是环节),于是在自身中也就有了无限性的规定。——这样,寻常所谓总和,如2⁄7或
,事实上就是一个比率;而这个所谓有限的表现形式就是真的无限的表现形式。反之,无限系列倒真的是总和;它的目的是要把本身是比率的东西,以一个总和的形式来表现,而系列现有的各项不是一个比率的项,而是一个总积(Aggregat)的项。另一方面,系列还不如说是有限的表现形式;因为它是不完圣的总积,本质上仍然是有缺憾的。系列就其实有的东西而言是一定的定量,但同时又是一个较少于本身应该有的定量;而系列所缺少的东西也同样是一个一定的定量;所缺少的部分事实上正是系列中称为无限的那个东西,就仅仅形式方面说,这个部分是一个缺少的东西,一个非有;就它的内容说,它是一个有限的定量。在系列中实有的东西连同所缺少的一起,就构成了分数那样的东西,这是系列应该是而又不能够是的一定的定量。无限这个字,即使在无限系列中,也常常被人以为一定是某种高尚尊严的东西,这是一种迷信,知性的迷信;我们已经看到了它倒不如说是要归结到有缺憾的规定上去。
还可以说,其所以有不能总和的无限的系列,就系列形式而言,那完全是由于外在而偶然的情况。它们比能总和的无限系列,含有较高级的无限性,即不可通约性(Inkommensurabilität),或者说不可能把其中所含的量的比率表现为定量,即使是表现为分数也不可能。但是它们所具有的系列形式,本身却含有与能总和的系列中相同的坏的无限规定。
数学的无限物——不是方才所说的,而是真的数学的无限物——被称为相对的无限物;通常的形而上学的无限物——这该是被了解为抽象的、坏的无限物——却反而被称为绝对的无限物;这里也就有了以前在分数和分数的系列那里所看到的名词的颠倒。事实上,这个形而上学的无限物倒只是相对的,因为它所表现的否定仅仅是与一个界限对立,即界限仍然在它之外长留,并不被它扬弃;数学的无限物则与此相反,真的把自身中的有限的界限扬弃了,因为界限的彼岸与界限联合了。
一个无限系列的所谓总和或有限的表现形式,在方才陈述过的意义之下,倒应该被认为是无限的,尤其是斯宾诺莎曾树立真的无限概念来与坏的无限概念对立,并用例子加以说明。当我将他关于这方面的说法和我的这种解释联系起来时,他的概念就极其明白了。
他首先把无限物定义为任何性质的存在的绝对肯定,相反地,有限物却是规定性、是否定。(35)当然,一种存在的绝对肯定必须认为是它的自身关系,而不是由于有一他物;反之,有限物则是否定,是与一个他物的关系的终止,这个他物是在它以外开始的。一种存在的绝对肯定,当然没有穷尽无限的概念。这个概念之包含无限,即肯定,并不是作为直接的肯定,而只是通过他物在自身中的反思而恢复的肯定,或说是否定物之否定。但是在斯宾诺莎那里,实体及其绝对统一还只有不动的,即不是自己以自己为中介的统一形式,是一种僵硬的形式,其中还没有自身的否定的统一这样概念,还没有主观性。
他说明真的无限物所用的数学例子(《书信集》,Epist.XXIX),是两个不相等的圆之间的空间,一个圆落在另一个圆之内而又不碰到它,并且这两个圆不是同心的。他似乎很看重这个几何形状和用这形状为例的概念,以致把它作为他的伦理学的公则。(36)他说:“数学家结论说,在这样的空间中可能的不相等是无限的;那些不相等,不是由于无限数量的部分(因为这样的空间的大小是确定的、立了界限的,而且我可以建立较大的或较小的这样的空间),而是因为事物的本性超出了任何规定性。”可是斯宾诺莎抛弃了把无限物想象为没有完成的数量或系列的那种设想,提醒人们这里所举的空间的例子,无限物不是彼岸,而是当前现在、已经完成了的;这个空间是一个立了界限的,但它所以是无限的,是“因为事物的本性超出了任何规定性”,因为其中所包含的大小规定不能表现为定量,或依照上述康德的说法,把它综合为一个分立的定量是不能完成的。——连续定量和分立定量的对立如何一般地导引出无限物,这应该在下一注释中讨论。那种在一个系列中的无限,斯宾诺莎称之为想象的无限物;另一方面,他称自身关系的无限物为思维的无限物或现实的无限物(infinitum actu)。它之所以是现实的(actu)无限,是因为它是已完成的和现在的。这样,0.285714……或1+a+a2+a3……等系列便仅仅是想象的、或意见的无限物,因为它们没有现实性,总是缺少点什么;反之2⁄7或
都是现实的无限物,不仅有系列中现在各项的东西,并且还有系列所缺少而只是应该有的东西。2⁄7或
同样是一个有限的大小,就像斯宾诺莎封闭在两个圆之间的空间及其各种不相等那样,并且也像这个空间那样可以使其较大或较小。但是并不因此而发生较大或较小的无限物那种荒谬事情;因为这个整体的定量与它的环节的比率,与事物的本性、即与质的大小规定无关;那在无限系列中实有的东西,同样是一个有限的定量,但除此之外,它还是一个有缺憾的东西。想象对于它仍然停留在定量本身那里,并不曾反思质的关系,而质的关系却构成现存的不可通约性的基础。
斯宾诺莎例子中所包含的不可通约性,其中一般地包含了曲线函数,更确切地说,导致了数学在这样的函数里,或一般地说,在变量的函数里所引用的无限,这是真的数学的、质的无限,也就是斯宾诺莎所想的无限。我们在这里要详细说明这种规定。
首先是关于可变性这样重要的范畴,函数中相关的大小就是在这个范畴下被把握的。这些大小之可变化,其意义并不应该是像分数2⁄7中2和7两个数那样,因为同样可以用4和14,6和21等等以至无限的其他的数来代替而不改变这个分数中所定的值。对
同样也可以用任何数代替a和b而不改变2⁄7所应该表现的值。现在的意义是:对于一个函数中的x和y,也可以用一个无限的、即不可穷尽的数量的数来代替,a和b是与那x和y同样可变化的大小。因此,为大小规定选择了变量这一名词是很含糊而不幸的,这种大小规定的有兴趣之处及其处理方式,是在与单纯可变性完全不同的地方。
数学高等分析满怀兴趣地从事于研究一个函数的环节,为了弄明白这些环节的真正规定何在,我们必须再经历一遍前面已经注意过的阶段。在2⁄7或
中,2和7每一个本身都是规定了的定量,关系对于它们是不重要的;a和b也同样代表这样的定量,它们在比率之外也仍然是它们原来的样子。此外,2⁄7和
也是一个固定的定量,一个商数;比率构成一个数目,分母表示数目的单位,分子表示这些单位的数目,或倒过来说也可以;即使4和14等等代替了2和7,比率作为定量仍然是同一的。但是这一点在譬如
的函数中却有了本质的改变;这里x和y固然有可以是确定的定量的那种意义,但x和y却没有确定的商数,而只是x和 y2才有。所以这个比率的两端不仅第一、不是确定的定量,而且第二、它们的比率也不是一个固定的定量(这里也不意谓着它是像a和b那样的一个固定的定量),不是一个固定的商数,这个商数作为定量也是绝对可变的。这一点的含义,唯在于:不是x对y有比率,而是只有x对y的平方才有比率。一个大小对方幂的比率,不是一个定量,而在本质上是质的比率;方幂比率是一种情况,这种情况必须看作是基本规定。——但是在直线函数y=ax之中
=a却是一个普通的分数和商数,因此这个函数只在形式上是一个变量的函数,或说这里的x和y就和在
中的a和b那样,没有微积分计算中所考虑的那种规定。从微积分的观点看来,由于变量的特殊性,倒是宜于为它们采用一个特殊名称,并且采用与有限的(无论确定或不确定的)方程式中普通所用的未知数符号不同的符号,因为它们与那些单纯未知数有本质的差异,那些未知数本身是完全确定的定量或有一个确定定量的确定范围。——只是因为对于构成高等分析的兴趣和对引起需要和发明微分计算的东西的特殊性缺乏意识,才把一次方的函数,如直线方程,也纳入这种计算本身的处理之内;另外一种误解也有助于这样的形式主义,即这种误解以为一个方法的普遍化这一本来正当的要求,将由于省略掉为这种需要基础的特殊规定性,便会实现,以致认为这个领域内所处理的,好像只有一般的变量了。假如懂得这种形式主义所涉及的不是变量本身,而是方幂规定,那么在考虑以及处理这些对象时,便会省去许多形式主义了。
但是数学无限的特殊性之出现,还在后一阶段里。在把x和y首先当作是由一个方幂比率来规定的方程式中,x和y本身仍然应该有定量的意义;这种意义在所谓无限小的差分中却完全丧失了。dx,dy不再是定量了,也不应该有定量的意义,它们的意义只在于关系,仅仅意味着环节。它们不再是某物(被当作定量的某物),不再是有限的差分;但也不是无,不是无规定的零。在比率之外,它们是纯粹的零,但是它们应该被认为仅仅是比率的环节,是
微分系数的规定。
在这个无限概念中,定量真的成了一个质的实有;它被建立为现实地无限的;它不仅是作为这个或那个定量,而是作为一般定量被扬弃了。但是,作为定量原素的量的规定性,仍旧是根本,或者如以前所说,仍旧是定量的第一概念。
对这种无限的数学基本规定,即对微积分的基本规定所作的一切攻击,都针对着这一概念。假如这个概念不被承认,那也是数学家本身不正确的观念所引起的;尤其是要归咎于在这些争论中,不可能把对象当作概念来论证。但是前面已经说过,数学在这里也避免不了概念;因为作为无限的数学,它并不把自己限制于对象的有限的规定性,像在纯粹数学中空间和数及其规定只是就有限性方面来观察并相互有关系那样,而是把一个从那种研究得来并加以处理的规定,移植到与此对立的规定的同一中去,例如把一条曲线作成直线、把圆作成多角形等等。所以数学采用的微积分的运算,与单纯的有限规定的性质及其关系相矛盾;因此,唯有在概念中,这些运算才会得到论证。
假如无限的数学坚持那些量的规定是正在消失的大小,即既不再是任何定量,又不是无,而仍然是一个与他物对立的规定性;那么,在有与无之间,并没有所谓中间状态,这似乎是再明白不过的了。——这种责难以及所谓中间状态自身是怎么回事,这已经在前面变的范畴第四个注释中说明过了。有和无的统一,当然不是什么状态;状态只是有和无的一种规定,有、无等环节只是偶然由于错误的思维才陷入这种规定之中,就好像陷入疾病或外在的影响之中那样;倒不如说唯有中项和统一、消失或变才是它们的真理。
人们还说过:无限是什么,并不能以较大或较小来比较,所以按照无限的行列或品级,并不能够发生有限和无限的比率,像出现在数学科学中的无限差分的区别那样。以上所说的非难,是以如下的观念为基础,即这里所谈的是定量,它们是作为定量而被比较的;假如那些规定不再是定量,那么,它们彼此间也就不再有比率了。但是,那个仅仅在比率中的东西,倒不如说并非定量;定量是一个这样的规定,即它在比率之外,有一个完全漠不相关的实有,它与一个他物的区别应该是漠不相关的;与此相反,质的东西恰恰只是在它与一个他物相区别那样的东西。因此,那些无限的大小不仅是可以比较的,而且只有作为比较或比率的环节。
我再列举一下数学中关于这种无限所给予的最重要的规定;很显然,关于事实的思想虽然为这些规定立下基础并与此处所阐释的概念一致,但是这些规定的创始者并没有把这种无限当作概念来探讨,而在应用时又不得不找与其更良好的宗旨相矛盾的办法。
(37)对这种思想的正确规定,莫过于牛顿。我在这里把属于运动和速度(他主要是从速度采用了流数Fluxion这一名词)观念的规定分开,因为这里出现的思想,不是在份所应有的抽象之中,而是具体的,夹杂着非本质的形式。牛顿解释这些流量说(《自然哲学之数学原理》第一卷,第十一补助命题注释)(38),他并不把它们理解为不可分的东西(这是以前数学家们,如卡伐里利(39)等所用的形式,含有自在地规定了的定量的概念),而是正在消失的可分的东西。再者,流量也不是一定部分的总和和比率,而是总和和比率的极限(limites)。可以责难说,正在消失的大小并没有最后的比率,因为在消失以前就还不是最后的,而当其消失,便也再不是什么比率了。但是对于正在消失的大小的比率,必须理解为这样的比率,即大小不是在比率以前,也不是在以后,而是连同比率一起消灭的(quacum evanescunt)。正在发生的大小的最初比率,也同样是连同比率一起发生的。
牛顿只是按科学方法的当时水平,说明了一个名词所指的是什么,但是一个名词所指是这样或那样的东西,这原本是主观的意向或历史的要求,那里并没有表现出这样一个概念是自在而自为地必然的,具有内在的真理。但是从上所引,也表明了牛顿所提出的概念,与上述无限大小如何由对定量自身的反思而产生,是相符合的。这就是从大小的消失来了解大小,即是说它们已不再是定量;此外,它们也不是一定部分的比率,而是比率的极限。所以无论定量本身(即比率的各项),或是比率本身(只要这个比率也是定量),都应该消失;大小比率的极限,就是在那里既有比率,又没有比率,——更精确地说,就是定量在那里消失了,从而比率只是作为质的量比率而被保留,其各项也同样只是作为质的量环节而被保留。——牛顿又说,不可以从有正在消失的大小的最后比率,推论出也有最后的或不可分的大小。那样就会又是从抽象的比率跳到这种比率的各项上去,这样的各项本身在其关系之外另有一种值,它们是不可分的,像是某种是一或无比率的东西。
针对这种误解,他还提醒我们说,最后比率不是最后大小的比率,而是极限;无限地减少着大小的比率,比任何已有的、即有限的差分都更接近极限,但是这些比率却不可越出那个极限,那样就会成了无。如前所说,最后的大小可以被了解为不可分的大小或一。但是在最后比率的规定中,无论是漠不相关的一,即无比率之物的概念,或是有限的定量的观念,都除掉了。另一方面,假如所要求的规定,已经发展成为纯粹仅仅是比率的环节这种大小规定的概念,那就既不需要牛顿把定量移植其中而仅仅表现为无限进展的那种无限的减少,也下需要在这里并不再有直接意义的那种可分性的规定。
(40)至于在定量消失中保留比率,在别处也有表现(例如卡尔诺(41)的《关于微分计算的形而上学的一些思考》),即正在消失的大小,由于连续规律,在消失之前仍然保持它们来源所自的比率。——这种观念只要不被了解为定量的连续,就表现了事物的真正本性,因为这种连续在无限进展中仍有定量,定量在消失中仍然这样继续自身,即在它自己的彼岸中所发生的,仍然只是一个有限的定量,一个系列的新项;一个连续的过程总是被想象为这样的,即:它所经过的值,全都仍然是有限的定量。反之,在被造成真正无限的那种过渡中,连续的却是比率;因为这种过渡倒是恰恰在于把比率提出使其纯粹,使无比率的规定(即一个定量是比率的一项,它被放在这种关系之外,也还是一个定量)消失,所以这种比率是很连续的,保持自身的。在这样的情况下,量的比率的这种纯净化不过是好像一个经验的实有物被概念掌握那样。这种实有物之所以高出自身,是由于它的概念含有与它自身同一的规定,但这是以这些规定的本质性和概念的统一性来把握的,在这之中,规定也就失去了漠不相关的、非概念的持久存在了。
同样有兴趣的,是牛顿对现在所就的大小所表述的另一形式,即发生的大小(erzeugende Grösse)或根本(Prinzipien)。一个已经发生的大小(genita)是一个乘积或商数、方根、长方形、正方等——总之是一个有限的大小。“这种大小在继续运动和流动中增减而被认为是可变的,所以他对它的暂时增量(Inkrement)或减量(Dekrement)用了瞬刻(Moment)这个名词。但是这些瞬刻不应该被看作是一定大小的细小部分(particulae finitae)。这样的细小部分自身不是瞬刻,而是由瞬刻所发生的大小,这里所指的,倒不如说是有限大小正在发生的根本或开始。”定量在这里便以它是一个产物或实有物和以它是在发生中、在开始或根本中、即在它的概念中(或说在它的质的规定中在这里也是一样)而与自身有区别;在质的规定中,量的区别,即无限的增量或减量,只是环节;唯有已变成的东西,才是已经过渡到实有的漠不相关和外在性中的东西,才是定量。——真概念的哲学虽然必须承认上述关于增量或减量的无限规定,但是同时也必须注意到增量等形式本身也是归于直接定量和已经说过的连续进程的范畴之内的;而且x有了dx或i等的增量、增长、增添这样的观念,倒不如说应当看作是方法中存在着根本毛病,对于把质的量环节的规定从普通定量观念纯净地提出来,是一种长久存在的障碍。
无限小量的观念远比上述的规定落后,这种观念本身就掩藏在增量或减量里面。按照这种观念看来,这些大小应该有这样的情况,即不仅是它们对有限的大小说来,可以省略掉,就是它们的较高序列对较低序列,或多数的乘积对个别乘积也都可以省略掉。(42)莱布尼兹突出地强调了这种省略的要求,有关这种大小的方法以前的发明者也同样使这种省略发生。这种省略主要是在运算过程中对计算赢得方便而有了不精密和显著不正确的外貌。——沃尔夫曾以他自己的方式,企图使这种省略问题通俗化,这就是说使概念不纯洁,用不正确的感性表象代替概念,而使其易于了解。他把较高级的无限差分对较低级的省略,比作一个几何学家进行测量一座山的高度时,有风吹掉了峰巅的一粒尘沙,或计算月蚀时省略了房屋、塔院的高度,都不会减少其精密。(《普通数学初阶》,第一卷,《数学分析初阶》,第二部分,第一章注释。)
假如说常识承认这种不精密可以容许,那么,一切几何学家相反地,都会抛弃这种想法。在数学科学中完全谈不到这样的经验的精密;而数学测量由于运算或由于几何构造及证明也与田野丈量,经验的线、形等的测量完全有区别;这是很显然的事。除此而外,前面已经说过,数学分析家由于比较,也指出如何用严密几何学方法和如何依无限差分的方法所得的结果,彼此都是一样的,完全没有较多或较少的精密性可言。很显然,一个绝对精密的结果不能来自一个不精密的处理方法。可是另一方面,这种处理方法自身又以无足轻重为理由,不管前面所举的辩解遭到抗议,仍避免不了那种省略。要把这里所包含的荒谬情况弄明白并加以消除,这正是数学分析家们勉力以赴的困难所在。
(43)对这一方面,首先要举出尤拉(44)的观念。由于他以牛顿的一般定义为基础,他坚持微分计算要考虑一个大小的增量的比率,但是又须把无限的差分本身完全当作零(《微分计算教程》第一部分,第三章)。——对此须如何了解,前面已经谈过了;无限差分只是定量的零,不是质的零,或不如说作为定量的零,它仅仅是比率的纯粹环节。它不是一个就量而言的区别;所以在一方面把被称为无限小量的那些瞬刻也说成是增量或减量,并且是差分,那就简直是偏向了。这种规定首先是以把现存的有限大小加上或减去一点东西为基础,先有一种减法或加法,即算术的、外在的运算。但是从变量函数到它的微分的过渡,却必须看作是完全另外一种性质的过渡,如以前已经说明过的,这种过渡必须被认为是把有限的函数归结到其量规定的质的比率。——另一方面,假如说增量本身是零,要考虑的只是其比率,那么这一方面的偏向也是很显然的;因为一个零简直就不会再有什么规定性了。这种观念固然达到了定量的否定物并且表示了这个否定物,但是并没有同时以质的量规定这种肯定意义来把握否定物,这些规定若是从比率中摘取出来而被看作定量,那便会只是零。——(45)拉格朗日(46)(《解析函数论》,导言)判断极限或最后比率的观念说,假如两个量仍然是有限的,那就立刻可以很容易设想它们的比率,一旦这个比率之项同时成了零时,那么这个比例所给予的概念,对于知性说来,就不明白、不确定了。(47)——事实上,知性必须超出比率各项作为定量是零这种单纯否定的方面,而要去把握它们是质的环节这种肯定的方面。——尤拉在以后(见前引书§84以下)又说两个所谓无限小量虽然不过是零,却有一个相互的比率,所以对它们不用零的符号而用别的符号;他为了此种证明而对有关的上述规定所增补的说法,是不能令人满意的。他想用算术比率和几何比率的区别来论证这一点;在算术比率中我们所看到的是差分,在几何比率中我们所看到的是商数,算术比率虽然等于两个零之间的比率,但几何比率却不因此而也是那样;假如说2﹕1=0﹕0,那么,就比例的本性而言,第一项既然比第二项大两倍,第三项也就必须比第四项大两倍;所以0﹕0就比例说,应该被当作是2﹕1之比。——即使就普通算术说,n·0=0,所以,n﹕1=0﹕0。——但是正因为2﹕1或n﹕1是定量的比率,所以既没有一个0﹕0比率,也没有一个0﹕0记号是符合于这个定量比率的。
我不再多事引证,因为以上的考察已经足够指明其中固然包含着无限的真概念,但是没有在概念的规定性中使概念突出并把握住它。因此在运算本身进行时,就不能使真的概念规定在运算中发生效力;反而回到有限的量规定性,运算避免不了一个仅仅是相对小的定量观念。计算使所谓无限的大小必须服从基于有限大小的本性的那些普通算术运算,如加法等,并且从而把这些无限的大小暂时当作有限大小来处理。计算一方面把这些无限的大小贬低到这样的范围,并把它们当作增量或差分来处理,另一方面又在把有限大小的形式和规律应用于它们之后,立刻将它们当作定量而加以省略;关于这一点,计算是需要为自己找辩护理由的。
关于几何学家们消灭这些困难的尝试,我只举其最主要的。
古代数学解析家对此并不曾感到有多大顾虑,但是近人的努力却在于使无限的计算有几何方法特有的自明性,并在数学中达到古人在几何方法中证明的谨严(拉格朗日的说法)。可是因为无限的分析原理比有限大小的数学原理有较高的性质,所以前一类必须自行放弃后一类的自明性,就像哲学不能要求有感性科学,例如博物学那样的自明性,——吃和喝也比思维和概念理解应该是更容易懂的事儿。现在且谈要达到古人证明的谨严的那些努力。
许多人曾经试图完全避免无限的概念,不用这个概念来实现与使用这个概念密切相关的东西。——譬如拉格朗日就谈论过兰登(48)所发明的方法,并且说那种方法纯粹是分析的,不用无限小的差分,而是先则引用了变量的不同的值,然后又使其相等。此外,他又断言微分计算所特有的特点,即方法简单、运算容易等,都在这里失去了。这种办法与我们以后还要细谈的笛卡尔切线方法的出发点,很有符合之处。这里所能指出的是,这一点至少是明显的:这种办法,先假定变量不同的值,以后又使其相等,这一般是属于微分计算方法本身以外的另一种数学处理范围,并且这种计算自身的现实具体的规定所归结的那种单纯比率,即推导出来的函数与原始函数的单纯比率,其特性也没有得到强调;这种特性,我们以后还要详细说明。
(49)近人中的较老一辈,如费尔马(50)、巴罗(51)等人都在后来发展成为微积分计算的应用中,用过无限小,后来莱布尼兹及其后继者,还有尤拉,都总是坦率相信无限差分的乘积及其较高级方幂可以略去,其理由只是因为这些差分与较低的序列相对比便消失了。他们的基本命题唯有依靠这一点,即依靠一个乘积或方幂的微分是什么的规定,因为他们的全部理论学说都归结到这一点。其余一部分是展开[函数或系列]的作用,一部分则是应用;可是有较高兴趣的、或者说唯一有兴趣的东西,却实际上是在应用那一部分里,这以后还要加以考察。——与现在问题有关的,我们在这里只是要举出初步的东西;关于曲线的主要命题,也同样以无足轻重为理由而被采用,曲线的原素,即纵横坐标的增量,具有次切线(Subtangent)和纵横坐标的相互比率;为了取得相似三角形的目的,便将弧(它与以前有理由称为特殊的三角形的两个增量构成一个三角形而是其第三边)认为是一条直线,是切线的一部分,从而被认为是增量之一达到了切线。(52)这些假定一方面使那些规定高出于有限大小的本性,但另一方面却又对现在称为无限的瞬刻应用了只适用于有限大小的处理办法,在这样的办法里,没有东西可以因其无足轻重而省略掉。方法所遭受的困难,在这样的办法里,仍然很厉害。
这里需要举出牛顿的一个值得注意的办法(《自然哲学的数学原理》,第二卷,第七命题后面的第二补助命题),——为了消除这种情况,即在求微分时算术上不正确地省略无限差分的乘积或其较高级的乘积,便发明了一种很有意思的把戏。从乘积的微分,便很容易推导出商数、方幂等的微分,而他是用以下的方式找到乘积的微分的。假如x,y每个的无限差分都小一半,其乘积就成为
;假如让x和y有同样的增加,其乘积就成为
。现在再从第二个乘积减去第一个乘积,仍然剩余下ydx+xdy,而这是增长了整个dx和dy的剩余,因为这两个乘积就是以这个增长而有区别的;所以这就是xy的微分。——人们可以看出在这种办法中,构成主要困难的那一项,即两个无限差分的乘积dxdy,由它本身而消除了。但是虽然以牛顿的鼎鼎大名,也必须说这样的运算,尽管是很初级的,却仍旧不正确;说
,这是不正确的。只有为流量计算重要性找理由的这种需要,才能够使一个像牛顿那样的人自己受到这种证明的欺骗。
牛顿用来推导微分的其他形式,是与原素及其方幂的具体的,和运动有关的意义联系着的。使用系列形式也是他的方法的特征,在这里,其含义是说永远能够用增添更多的项来取得所需要的精密的大小,而省略掉的项则是相对地无足轻重的,结果一般只是一种近似;在这里,好像他也不以这种理由为满足,正如他在解高等方程时,用近似的方法,以较高方幂(这些方幂是在替代已有方程中每一个找到了的但仍不精密的值之时所发生的)很微小这样粗疏的理由而将它们省略掉那样;参看拉格朗日《数字方程》第125页。
牛顿用省略重要的高级方幂来解决问题,他所犯的这个错误,使他的反对者有机会用他们的方法战胜他的方法,拉格朗日在近著中(《解析函数论》,第三部分,第四章),也指出了这种错误的真正根源;这种错误证明了在使用那种工具时,还有徒具形式的和靠不住的东西。拉格朗日指出牛顿之所以犯错误,是因为他所略去的系列的那一项,含有一定问题关键所在的方幂。牛顿执着于各项因其相对微小而可以省略那种形式的、肤浅的原则。大家知道在力学中,若一运动的函数在一个系列中展开,这个系列的各项便被给予一定的意义,于是第一项,或第一个函数,是关于速度的瞬刻,第二个函数是关于加速力,第三个函数是关于诸力的阻力。于是系列各项在这里被认为不仅是一个总和的部分,而且是概念的一个整体的质的环节。因此,省略其余属于简单无限系列的各项,与以各项相对微小为理由的省略,是具有全然不同的意义的。(53)牛顿的解决,错误不在于其系列各项只被当作是一个总和的部分,而在于没有考虑到含有问题所在的质的规定的那一项。
在这个例子里,处理办法要依赖质的意义。这里也可以连带提出一般主张,即:假如指出原则的质的意义并使运算附属于这种意义,——而不要形式主义地只是在为微分起名称的任务中才提出微分的规定,只是在一个函数的变量得到增长之后才提出这个函数与它的变化的一般区别,——那么,原则的全部困难便会消除。在这种意义之下,很明显,由展开(x+dx)n而发生的系列,用它的第一项便可以完全穷尽xn的微分。其余各项之不被考虑,并不是由于它们的相对微小;——这里并不曾假定有不精密之处、缺点或错误,被另一错误抵消了或改善了,——卡尔诺主要就是从这种观点来为无限小的普通计算方法辩护的。既然所处理的不是一个总和,而是一个比率,那么,这个微分便完全可以由第一项找到;假如需要更多的项,即更高级的微分时,其规定也不包含作为总和的一个系列之继续,而包含人们唯一想要有的同一比率之重复,而这个比率却在第一项中已经完备了。对一个系列及其总和的形式上的需要,以及和它有关的东西,都必须与那种对比率的兴趣分别开。
卡尔诺关于无限大小的方法的种种解释,最明显地揭示了它含有上面引证的想法中的一切最为动听的东西。但是,在转到运算本身时,通常的关于被省略之项相对于其他项说来是无限小的想法,多少又出现了。卡尔诺是用下述事实来辩解他的方法的,那就是,计算结果是正确的,引进这种不完整方程(他是这样称呼这些方程的——就是那些作了这种算术上不正确省略的方程)对于简化计算具有便利:他并不是从事物自身的性质来辩解它的。
大家都知道拉格朗日为了跳出无限小观念以及最初、最后比率和极限的方法所引起的困难,重又采用了牛顿原来的方法,即级数法。他的函数计算,在精确、抽象、普遍等方面的优点都已经得到足够的承认,这里所要举出的,只是这种计算依靠一个基本命题,即差分虽不成为零,却可以认为是如此微小,以至系列的每一项,在大小方面,都超过了一切后继各项的总和。——这个方法也是从增长和函数差分的范畴开始,函数的变量得到增长,于是便从原来的函数得到使人厌烦的系列;而在后来,系列的被省略的各项,同样也只是鉴于它们构成了一个总和,才被考虑,省略它们的理由也是建立在它们的定量的相对性上。所以一方面这里的省略一般也并不是回到前面曾经提过的、在某些应用中出现的那种观点,以为系列各项应当有确定的质的意义,而被忽略的各项并不是因为它们在量上不重要,而是因为它们在质上不重要;另一方面,这种省略本身在所谓微分系数那种很重要的观点中便消除了,这是拉格朗日在所谓计算应用中才确定地加以强调的观点,我们在下一注释里还要对此详细讨论。
这里所谈的那种被称为无限小的量的形式,其一般质的特性已经证明;这种质的特性在上述比率极限的范畴中,可以最直接地找到,而且极限在计算中的使用成了特殊方法的标记。拉格朗日对这个方法的判断是:它在应用中并不简便,极限这一名词也没有明确的概念;在这里我们愿意接受判断的第二点,并仔细看看,关于极限的解析的意义提出了什么。在极限观念里,当然包含着变量的质的比率规定这一以前说过的真正范畴;因为这些变量所采取的dx和dy的形式,应该直接地只被看作是
的瞬刻,而
本身则应该被认为是唯一而不可分的符号。就计算的运用说,尤其是就计算的应用说,计算由于微分系数的两端分开而取得的好处,因此便失去了,这一点可以暂时置之不理。那个极限现在应该是某一函数的极限,——它应该标出与此函数有关的某一个值,这个值是依导数(Ableitung)的方式而规定的。但是,用单纯的极限范畴,我们并不能比用这个注释中所涉及的东西前进更远;这个注释要指出在微分计算中出现为dx和dy的无限小,不仅具有一个非有限的、非已知的大小那种否定的、空洞的意义,如人们所说的一个无限的数量,或无限进展之类,而是具有量的、一个比率环节本身的质的规定性那种明确意义。但是这个范畴却对一个已知函数那样的东西,还没有比率,与这个函数的处理和那种规定在函数中的使用都没有牵涉;所以极限观念若是停留在为它所已经证明的规定性里,便什么也引导不出来。但是极限这一名词本身已经包含着它是某物的界限这种意思,即是说它表示了变量函数中所包含的某一个值;这就必须看一看这种具有极限的具体情况是如何发生的。——极限应该是两个增量互相具有的比率的极限;在一个方程式中,有关的两个变量,被当作是互为函数,它们被认为是以这两个增量而增加;这里的增长被认为是本来不确定的,所以也并没有使用无限小。但是,首先,这种寻找极限的道路,也招致了和其他方法所包含的同样的前后不一贯。这条道路如下。假如y=fx,当y变为y+k时,则fx应变为fx+ph+qh2+rh3……等等,所以k=ph+qh2+……等,而kh=p+qh+rh2……。假如现在k和h消失了,那么,除p之外,第二项也消失,于是现在那个p就是两种增长比率的极限。可见h作为定量是被当作=0,但是
却不因此而是=
,它还仍然应该是一个比率。免去这里所包含的不连贯,应该是极限观念所获得的好处;同时p不是一个现实的比率,如
的比率,而仅仅是一定的值,比率可以无限的接近它,以致其差别可以比任何已有的差别更小。下面将考察一下就彼此应该真正接近的事物而论,接近有什么更确切的意义。一个量的差别,不仅可以而且应该比任何已有的差别都更小,一个量的差别假如有了这种规定,就不再是量的差别了,这一点本身是很明显的,其自明性和任何能够在数学中是自明的东西一样;但是这样便没有超出
=
以外。另一方面,假如
=p,即被认为是一定的量的比率,这个比率事实上也是如此,而以h=0的假定(只有用它才找得出
=p),它却反倒陷于困境了。另外,假如承认
=0,——而有了h=0,那么事实上自然也就有k=0;因为k增长为y,只有在这个增长是h的条件下才会出现,——于是要问p,这个完全确定的量的值,究竟是什么。对此自然立刻有一个简单枯燥的回答,说它是一个系数,由什么导数发生的,——即以一定方式由原始函数所导出的第一个函数。假如对此可以满足,拉格朗日就实质而论,对此实际上也是满足的,那么,微分计算科学的一般部分,紧接着那种称为极限理论的形式部分,免掉了增长,然后又免掉了增长的无限小或任意的小,也免掉了这样的困难,即:除首项而外,或不如说只是除首项的系数而外,要把因引入那些增长而不可避免地出现的一系列的其他更多之项,重行销去,此外,也清除了与此相关的其他东西,首先是无限、无限接近等形式的范畴,以及在这里是同样空洞的连续量(54)范畴,而这些范畴在别处是像一个变化的倾向、发生、机缘等,同样被认为是必需的。就完全可以满足理论的枯燥规定而言,p不过是由展开一个二项式而引导出来的一个函数,但是除此而外,现在必须指出,p还有什么更多的意义和价值,即对以后的数学上的需要,还有什么关联和用处;关于这一点,将在注释二中讨论。这里接着首先要讨论的,是:问题主要所在的比率,对于它本来的质的规定性的理解,由于在表述中流行使用的渐近观念,引起了混乱。
我们已经指出过,所谓无限差分就是表示作为定量的比率的两端之消失,而留下来的只是两端的量的比率,比率之所以纯粹,因为它是以质的方式规定的;质的比率在此并没有丧失什么,倒不如说它正是有限的量转化为无限的量的结果。我们已经看到这里正是事物的全部本性所在。——譬如纵横坐标的定量便消失于最后比率之中;但是这个比率的两端在本质上仍然一端是纵坐标的原素,另一端是横坐标的原素。当人们用想象使一纵坐标无限地接近另一纵坐标之时,从前有区别的纵坐标便过渡为另一纵坐标,以前有区别的横坐标也过渡为另一横坐标;但是本质上,纵坐标不过渡为横坐标,横坐标也不过渡为纵坐标。我们仍然就这个变量的例子来说,这里并不是要把纵坐标的原素看作是一个纵坐标与另一个纵坐标的区别,而要看作是对横坐标的原素的区别或说质的大小规定;一个变量的根本对另一变量的根本有相互的比率。当区别不再是有限大小的区别时,它在本身以内,也就停止其为杂多的东西,而消融为单纯的内涵,是一种质的比率环节对另一种质的比率环节的规定性了。
但是事物的这种状态之所以被弄得很模糊,是因为前例中所说的纵坐标的原素被了解成差分或增量,即它仅仅是一个纵坐标的定量与另一纵坐标的定量之间的区别。于是这里的极限便没有比率的意义,只被当作最后的值,与另一同类的大小经常接近,以至其区别愿意怎样微小,便可以怎样微小,而最后的比率便成了一个相等的比率。这样,无限差分便是一个定量与另一定量的区别之荡漾不定,而质的本性便在观念中退后了,就这种本性说来,dx在本质上并不是对x的比率规定,而是对dy的。与dx对比,dx2固然可以消失;但dx与x对比,却更会消失;这就真正意谓着:dx只是对dy才有一比率。——几何学家们在这样的表述中主要该做的事,就是使一个大小对它的极限的接近,明白易晓,把握住定量与定量的区别如何是区别而又不是区别这一特点。但是“接近”这一范畴,却本身简直什么也没有说,也不曾使任何东西明白易晓;dx已经把接近抛在背后,它既不是近,也不是更近;而无限近本身就意味着邻近和接近的否定。
由于现在事情是这样,即增量或无限差分,假如只就定量方面来看,它们便只是定量的极限,而定量却在它们之中消失了,这样,它们便被理解为无比率的瞬刻。从这里会得出不能容许的观念,即在最后比率中,如横坐标、纵坐标、或正弦、余弦、切线、反正弦以及一切等等都可以被认为彼此相等。假如一条弧线将被当作一条切线处理,那么,这种观念好像就会占上风;因为弧与直线当然也是不可通约的,它的原素比直线的原素有另外不同的质;假如有圆的方(quadrata rotundis),假如弧的一部分,尽管是无限小,却被认为是切线的一段,从而被当作直线来处理,这似乎比混同纵横坐标、反正弦、余弦等还更荒谬,更不能容许。——但是这种处理,与方才斥责过的那种混同,有本质的区别,理由是:在一个以一个弧的原素及其纵横坐标的原素为边的三角形里,其比率与那条弧的原素好比是一条直线的原素,即切线的原素,是同一的;诸角(55)所构成主要比率,仍然就是这些原素的比率,由于那个比率把属于这些原素的有限大小都抽掉了,所以那些角仍是同一的。(56)——人们对此也可以说,作为无限小的诸直线是过渡为曲线了,并且它们在无限中的比率是一个曲线的比率。直线就定义说,既然是两点之间最短的距离,那么,它与曲线的区别,其根据就在于数量的规定,在于这段距离上可区别的较小的数量,所以那是一种定量的规定。但是当这种规定被认为是内涵的大小,是无限的环节,是原素时,它就在数量中消失了,于是它与曲线的区别也消失了,这种区别仅仅依赖定量区别。——所以直线和曲线,作为无限,并没有量的比率,从而根据已经承认的定义,也彼此不再有质的差异,而是直线过渡为弧。
说同一整体的无限小部分彼此相等,这样的假设本身是不确定而全然漠不相关的,它与把异质的规定等同起来,相近而又毕竟不同。但是,这种假说应用到一个自身中就有异质的对象,即带有大小规定本质的不均性的对象,却引出高等力学中一个命题所含的奇特的颠倒,这个命题说:一个曲线的各无限小部分,是以匀速运动在各个相等的、并且诚然是无限小的时间通过的;同时关于这个运动,又作这样的主张,即曲线的各有限的、即存在看的、不相等的部分,是以这样的运动在各个相等的、有限的、即存在着的时间部分通过的;这就是就,这种运动是、并且被认为是存在着的、不匀速的运动。这个命题是用文字来表现一个解析的项应当意味着什么,这种项是由前面已经引用过的不匀速而又符合某一规律的运动公式之展开而发生的。新发明的微分计算,永远总是和具体对象打交道,较早的数学家对它的结果,企图用词句来述说,用几何图表来表现,主要是为了把这些结果,依照普通证明方式,用于定理。解析的处理,把一个对象,例如运动的量,分解为一个数学公式的各项,这些项便在公式那里获得了对象的意义,例如速度、加速力等等;根据这样的意义,这些项便应该给出正确的命题,物理的规律,而它们的客观联系和比率也应该依照解析的关联来规定,正如在一个匀加速运动中,存在着一个特殊的、与时间成比例的速度,但是除此之外,还总是要添上重力的增长。这一类的命题,在近代力学的解析的形态中,常常是被当作计算的结果来引用,而不理会它们是否本身有实在的意义,即与一存在物相符合的意义,也不理会这样意义的证明。假如用显明的实在的意义去看待这些规定,要使其联系——譬如从那种简单的匀速度到一种匀加速度的过渡——明白易晓,有了困难,那么用解析的处理也就可以完全消除这种困难,因为在解析处理中,这种联系只是现今已有牢固权威的运算的简单结果。仅仅用计算,便会超出经验,找到规律(即没有存在物的存在命题),这被说成是科学的胜利。但是在微分计算最初的幼稚时期,应该指出那些用几何图线来表示的规定和命题本身的实在意义,使其可通,并且在这样的意义之下,将那些规定应用于有关的主要命题之证明。(参看牛顿在《自然哲学的数学原理》第一卷第二部分第一命题对他的万有引力论基本命题的证明,与舒伯特(57)的《天文学》——第一版,第三卷§20——比较,那里承认,在证明的关键之点,情况并不严格地像牛顿所假定的那样。)
不能否认,在这个领域里,许多东西主要靠无限小的帮忙而被满意地当作证明,其理由不外是所得结果总是先前已经知道的,而这样安排得来的证明,至少也能带来一种证明架子的假象,——比起单纯的信仰或经验的知识来,人们总是更喜欢这种假象一些。但是我毫不犹豫,认为这种方式丝毫不比对证明单纯变戏法、卖假药好一些,其中甚至也要算上牛顿的证明,尤其是方才引过的、属于他的那些证明,人们为此把牛顿捧上天,说他高出克卜勒之上,因为克卜勒仅仅是由经验找到的东西,牛顿却对它加以数学的证明。
为了证明物理的规律,这些证明的空架子便架起来了。但是,由于物理的量的规定就是那些以环节的质的本性为基础的规律,数学对它们根本不能够证明;理由很简单,因为这门科学不是哲学,不是从概念出发,并且质的方面,由于不是以辅助证明的方式从经验取来,因此便在数学的范围以外了。说数学中出现的一切命题都应该有严格证明,要维持数学的这种荣誉,使它常常忘记了它的界限;于是简单承认经验是经验命题的源泉和唯一证明,便似乎是触犯了数学的荣誉。后来关于这种情况的意识变得较为有修养了;但是在这种意识没有区别清楚什么是数学可证明的和什么是只能从别处取得证明的以前,以及区别清楚关于什么只是解析展开的项和什么是物理存在物以前,科学性是不能达到严格而纯净的态度的。但是牛顿的那种证明架子,无疑也将和牛顿从光学实验得来的另一无根据的构造以及与其有关的推论,遭到同样公正的命运的。应用数学至今还是充满着这类经验和反思的酿制品,但是和那种光学自长时期以来就已经开始一部分接着一部分在科学中实际上被忽视了一样(这里仍有不彻底处,即剩余的部分尽管其中有矛盾,却还是被保留下来了),那些骗人的证明,事实上也同样已经有一部分被忘却或被其他证明代替了。
前一注释中所考察的,一部分是微分计算所用的无限小的概念规定性,一部分是将无限小引入微分计算的基础;两种规定都是抽象的,所以本身也是容易的。但是所谓应用,却既提供了较大的困难,又提供了较有趣的方面;这个具体方面的原素,应该是本注释的对象。微分计算的全部方法只用一个命题便毕业了,即dxn=nxn-1dx,或
=P,即等于依dx或i的方幂而展开的x+dx,x+i,这个二项式的首项系数。再不需要学更多的东西;以后的形式,如乘积的微分、指数的量等等推演,都可以机械地由此得出;用很少时间,或许用半点钟,便可以学会全部理论——因为求得微分,其反面,积分也就有了,即微分的原始函数也就求得了。不过,在以解析的方式,即以完全算术的方式,由变量函数的展开而求得那个系数之后,在这个变量由增长而获得一个二项式的形式之后——在课题这一情况很容易办好之后,而其另一情况,即正在发生的系列,除首项外,其余诸项都被省略,仍有其正确性;要懂得这一点并使其可以理解,却须费较长的工夫。假如情况是:唯有那个系数才是必要的,那么,这就会正如我们所说,只要有了系数的规定,一切与理论有关的东西,用不了半点钟便完结了,而省略系列的其余各项也并不成为困难,它们之作为系列各项(作为第二、第三等函数,它们的规定已经与第一项的规定一起解决了),倒是完全谈不到的,因为这里的事情与它们毫不相干。
这里可以首先提说一下,人们当然立刻可以看出微分计算不像是只为自己而发明、建立的;它之创立另一种解析办法,不仅不是为它自己,而且勉强干脆省略掉展开一个函数所产生的各项,那倒简直是与一切数学原理完全矛盾,因为这一展开的整体却仍然被认为完全属于有关的事情,——这个事情被看作是一个变量(在给予这个变量一个二项式形态以后)的展开了的函数与原始函数的区别。需要这种办法,而在这种办法本身那里又缺少论证,这就立刻显出了它的来源和基础必定是在别的地方。在别的科学中,也曾出现过同样的事,那首先树立起来的、作为基本的东西,并且许多科学命题都应该从那里演绎出来,却是一个不明不白的东西,它的理由和根据反而要在后来才得显明。微分计算史中的演进,说明了尤其在各种切线法,也同样是以人工制造品做事情的开始;在方法扩展到更多的对象以后,它的方式才渐渐被意识到,而被纳入抽象的公式,并被试图提高为原则。
我们已经指出过,那些被安置在相互比率中的定量,其质的量规定性就是所谓“无限小”的概念规定性,这里联系着想用关于无限小的描写和定义来证明那种概念规定性的经验的研究,在这种情况下,无限小是被当作无限差分以及诸如此类的东西。——这种情况之发生,其兴趣只在于抽象的概念规定性;更进一步的问题则是从这种抽象的规定性过渡到数学的形成和应用,情况是怎样的。为此目的,首先须更进一步着手理论方面、即概念规定性,它本身将证明并非是完全无益的;然后就要考察这种概念规定性与应用的关系,并就这里范围所及,在这两方面都要证明,一般结论对于微分计算所需要做的事,以及做成它的方式如何,都同样是适宜的。
这里首先需要提一下,现在所谈的概念规定性在数学方面的形式,已经附带讲过了。量的事物,其质的规定性,首先一般地表现为量的比率,但是在说明所谓各种计算方式时(参看有关的注释),也曾经预示在方幂比率(将来在适当的地方还要加以考察)中,数由于它的单位和数目这两个概念环节之相等被当作是回复到自身,从而在自身那里获得无限性、自为之有、即由自身规定的有这一环节。于是,正如已经提到过的那样,显明的质的大小规定性,主要是与方幂的规定有关,既然微分计算的特点就是用质的大小形式来运算,那么,它的特殊的数学对象,就必定是对方幂形式的处理,而且有关使用微分计算的全部课题及其解答,都指出唯有方幂规定本身的处理,是其兴趣所在。
这种基础虽是如此重要,并且立刻把某种确定的东西提到顶点,代替了徒具形式的范畴,如可变的、连续的或无限的大小之类,也代替了仅仅是一般函数的范畴,却仍然太一般了;其他的运算也同样与此有关;先是乘方和开方根,然后是指数大小、对数、系列的处理,较高级的方程式,其兴趣和努力都只是在于以方幂为基础的比率。这些比率无疑必须共同构成一个处理方幂的体系,方幂规定可以在各种比率中建立起来,但在那些比率之中,这个体系却是微分计算的特殊对象和兴趣所在,它只是由微分计算本身,即由所谓微分计算的应用,才可以取得。这些应用实际是事物本身,是数学解决一定范围内的问题的实际办法;这种办法比理论或一般部分为时较早,它只是后来由于以后创立了理论的关系,才被称为应用;理论想要提出办法的一般方法,并给予方法以原则,即给予它以论证。至于曾经白费过什么样的努力,要为以前对这种办法的观点找出原因,来真正解决出现的矛盾,而个是仅仅用那种就数学办法说来虽属必要,但在这里却须省略掉的无足轻重的东西,或走相同的路用无限或任意接近的可能性以及诸如此类,来宽恕或掩盖这种矛盾:这在前一注释中已经指出过了。假如从被称为微分计算的这一数学的现实部分用与以前不同的方式,抽掉这种办法的一般东西,那么,那些原则和搞那些原则的努力,本身既然表明是某种歪斜的、仍陷于矛盾的东西,所以也就大可省去了。
假如我们简单地接受数学这一部分现有的这种特点,加以研究,那么,我们所发现的对象就是:
(1)方程式,任何数目的大小(这里一般可以以二这一数目为限)在这些方程式中就联系为规定性的这样一个整体,即,第一,这些大小以作为固定界限的经验的大小为其规定性,然后以这些大小与经验的大小的联系方式以及它们自身间的联系方式为其规定性,这一点在一个方程式中的情况一般都是如此;但是因为两个大小只能有一个方程式(相对地说来,较多的大小当然就会有较多的方程式,但是方程式永远要比大小的数目少),所以这类方程式属于不确定的方程式;——第二,这些大小之所以在这里有其规定性,因为它们的一种情况就在于它们(最少是它们中之一)之出现于方程式中有比一次方幂较高的方幂。
对此需要先说几句话,第一,依据上述第一种规定,这些大小完全只有像在不确定的解析课题中出现的那些变量的特性。它们的值是不确定的,但是,情况却是这样的,即,假如一个大小从别处得到了一完全确定的值,即一个数值,那么,另一大小也就确定了,这样,一个大小便是另一个大小的函数。变量、函数以及诸如此类的范畴之所以对这里所谈的特殊的大小规定性,仅仅如我们以前所说,是形式的,那是因为这些范畴所具有的一般性还不包含微分计算全部兴趣所在的那个特殊方面,从而也不能用解析来解释。这些范畴原本是简单的、不重要的、容易的规定,只因为要把本来不在其中的东西,即把微分计算的特殊规定,放到它们里面去,以便从它们那里又把这种东西引导出来,这才造成麻烦。至于所谓常数,可以说常数先是作为漠不相关的经验的大小,它对变量进行规定,也只是关于变量的经验的定量方面,作为变量的最低或最高的极限;但是常数与变量的联系方式,对于特殊函数(这个函数就是那些变量)的本性说来,本身也是它的环节之一。但是反过来说,常数本身也是函数;例如一条直线假如有它是一条抛物线的参数这种意义,那么,它的这种意义也就在于它是
这个函数;一般和展开二项式那样,常数是展开的首项系数,为各方根之和,第二项系数是这些方根两个与两个等等乘积之和,所以这些常数在这里一般都是方根的函数;在积分计算里,常数也由一定的公式来规定,在这种情况下,它是被当作这一公式的函数来处理的。我们以后将用一种与函数不同的规定,来考察这些系数,其全部兴趣所在,只是系数在具体方面的意义。
但是现在考察变量用以区别它们在微分计算中的自身和它们在不确定的课题中的状态这一特点,那在前面所述已经提出了,即这些变量,最少是一个或全部都有比一次方幂较高的方幂,至于那些变量全部是否都有同一较高的或不等的方幂,却是不相干的;它们在这里所具有的特殊不确定性,在于它们以这样的方幂比率,互为函数。变量的变化因此是在质方面被规定了的,从而是连续的;连续性本身不过又是一个同一性(即在变化中自身仍然保持,仍然同一的规定性)的一般的形式的范畴,但在这里却有其确定的意义,当然这只是在方幂比率中,因为这个比率不是以定量作它的指数,也不构成变量比率的量的、不变的规定性。因此也须注意反对另一种形式主义,即一次方幂只是与较高的方幂相比,才是方幂;x本身只是任何一个不确定的定量。所以就直线方程:y=ax+b,或简单的匀速度方程:s=ct本身加以区分,并无意义;假如从y=ax或也从y=ax+b变为a=
,或从s=ct变为
=c,那么,同样地,a=
就是切线的规定,或
=c就是简单速度的规定。后者作为
是表现于与被称为匀加速运动的展开那种东西的关联之中;但是单纯的、简单匀速的(即不由运动诸能率之一的较高方幂规定速度的)一个能率,出现于匀加速的运动的系统之中,那就正如前面说过的,本身是空洞的假定,只是以方法的习惯成规为基础。方法既然从变量应有增长这一观念出发,那么,只是一次方幂的函数这样的变量当然也有增长。假如现在为了求出微分而必须认为由此而发生的第二个方程式与已知的方程式有区别,那么这种运算的空虚就表现出来了;因为前面已经讲过,在运算以前和以后,对于所谓增长和对于变量本身,方程式都是相同的。
(2)以上所说,明确了需要处理的方程式的本性,现在要举出来的,是这种处理的兴趣所在是什么。这样的考察所能给予的,只是已知的结果,就形式说,这些结果尤其是像拉格朗日所理解的那样;但是我为了剔除那里混杂着的异质的规定,所以提出的说明,完全是很基本的。——上述种类的方程式的处理的基础,显示出方幂在它自身之内被认为是一个比率,是一个比率规定的系统。方幂在以上被表述为数,它之所以能够如此,是因为它的变化是由它自身规定的,它的环节、即单位与数目,也是相同的,——如以前所指出的,方幂在平方中也就很完全了,而在更高的方幂中,不过是更形式的,在这里无关宏旨。现在方幂作为数(虽然人们较喜欢用“量”这一名词,以其较为一般,但是方幂本身总之仍旧是数),既然是一个数量,也表现为总和,那么,它在自身之内可以被除为任何数量的数,这些数除了一共等于它们的总和而外,其彼此之间和对总和便都没有别的规定了。但是方幂也可以被除为那些由方幂形式规定的差分的总和。假如方幂被当作总和,那么,它的方根数,或说方根,也被当作总和,至于除它的倍数也是任意的,但是这种倍数却是漠不相关的、经验的、量的东西。方根应当是总和;总和归到它的单纯规定性,即它的真正普遍性时,就是二项式;一切更多的项的增加都仅仅是这个同一规定的重复,因此也就是某种空虚的东西。(58)问题所在,只是这里由被认为是总和的方根乘方而生的诸项之质的规定性,这种规定性完全包含在乘方这一变化之中。于是这些项便完全是乘方和方幂的函数了。把数表现为这样的诸项(它们就是乘方的函数)一定数量的总和,然后兴趣就在于找出这些函数的形式,并随即从这些项的数量找出总和,因为要找出总和唯一必须依靠函数的形式,——这就构成大家知道的特殊的系列论。但是这里重要的是,把更有兴趣之点区别出来,即作为基础的大小本身(因为它是一复合体,在这里就来,即是一个方程式,其规定性自身就包括了一个方幂)与其乘方函数的比率。完全除去了前面所说的对总和的兴趣,这种比率就将表现出它是真正科学所产生的唯一观点,微分计算便是把这种观点放在最前列的。
但是对以上所说,还必须先加上一种规定,或者不如说必须除去其中所包含的一个规定。我们曾经说过,变量(方幂就在它的规定之中)在它自身以内被认为是一个总和,而且是各项的系统,由于各项是乘方的函数,所以方根也当然被认为是一个总和,其形式被简单地规定为一个二项式:
xn=(y+z)n=(y+nyn-1z+……).
这种表达,对于方幂的展开,即对于达到方幂的乘方函数,是从总和本身出发的;但这里问题所在,既不是总和本身,也不是由总和所产生的系列,那必须从总和取来的东西,只是关系。大小的关系本身,一方面是在抽去一总和本身加多(plus)之后所剩余的东西。但是这样的关系之已经被规定,就在于这里的对象是ym=axn方程式,已经是较多的(变)量的复合体,它包含了这些量的方幂规定。在这个复合体中,每一个量都直接被当作是与另一个量有关系,其意义可以说是对它自身的加多,——被当作是另一量的函数;它们互为函数的特点,给了它们加多这一规定,正因此,这个加多是完全不确定的,而不是增长、增量以及诸如此类的东西。但是我们也可以把这种抽象观点放在一边;事情可以完全简单地停留在这样的一点,即已知在方程式中互为函数的变量,以致这种规定性包含了方幂的比率,在这之后,每一个乘方的诸函数也就可以互相比较——这第二类的函数,除了由乘方本身规定而外,并无其他规定。把一个方程式从它的变量的方幂移到它的展开函数的比率,起初可以就是随意的,或是可能的;这种转变的用处必须在以后的目的、益处、使用中显示出来;所以要做这种改移,只是由于它的有用。假如上面是从表达一个量(它作为总和,在自身中是被认为有不同的部分的)的这种方幂规定出发,那么,这种用处便只是一部分为了指出这些函数是什么种类,一部分在于求出这些函数的方式。
这样,我们便到了普通解析的展开,它为了微分计算之故,将被理解为这样,即变量有了dx或i的增长,而现在二项式的方幂也由属于二项式的各项系列而表现出来。但所谓增长不应是一定量,只是一形式,它的全部价值就在于帮助展开;人们对以前提到的极限观念所愿意承认(而以尤拉和拉格朗日最为坚决)的东西,只是由变量产生的方幂规定,即增长及增长的方幂的所谓系数,系列依照这些方幂规定而安排自身,不同的系数也属于这些规定。这里还可以说只是为了展开的缘故,才假定有一增长,它不是定量,所以对此用1(一),是最合宜的,因为这种增长在展开中永远只出现为因数,正是一这个因数完成了虽有增长而无量的规定性和变化这一目的;另一方面,带着量的差分这种错误观念的dx,以及带着在此处无用的普遍性假象的其他符号,如i,总是有定量及定量方幂的外貌和假托;而后这种假托又惹起必须将它取消和省去的麻烦。为了维持一个依方幂而展开的系列形式,指数的符号作为指标(indices)同样也可以加在一的后面。但是无论如何,必须抽掉系列和按系数在系列中地位而有的系数规定;这一切之间的比率都是同一的;第二函数之从第一函数导引出来,也正如第一函数从原始函数导引出来那样,假如一个函数被算作第二函数,那么第一函数,虽然也是导引出来的,而对于第二函数说来也就又被算作原始函数了。重要之点是兴趣不在于系列,而唯一在于从展开所发生的方幂规定,这种规定与对方幂是直接的量有比率。所以这些方幂并不被规定为展开的首项系数,因为一项是以与系列中其他后继各项的关系而被称为首项,但是一个作为增长方幂这样的方幂以及系列本身,却与此无关,假如宁愿要导出的方幂函数,或如以前说的量的乘方函数这样单纯的名词,那么,它就已经被假定为已知的,“导数”就以这种方式被认为是包括在一方幂之内的展开了。
假如说现在数学在这一部分解析中的真正开始,不过是求出由方幂展开而规定的函数,那么,也还有一个问题,即从这里得到的比率该怎么办呢,这个比率在哪里有应用和使用之处呢,求这些函数,到底是为了什么目的呢。求出具体对象的比率,可以将它们归结到那些抽象的、解析的比率;微分计算由此得到很大的兴趣。
关于能否应用问题,借助于指出过的方幂环节的形态,首先从事情本性出发,还不要从应用事例去推论,也就自然产生如下的结果。方幂大小的展开(其乘方的函数由此产生),抽掉了较细密的规定,首先便一般地包含着将大小降低到最近的较低方幂。于是这种运算便可以应用到同样有着这种方幂区别的那些对象上去。假如我们现在考虑到空间规定性,那么,我们便发现它含有三维,我们为了把这三维与长、宽、高等抽象的区别相区别,可以称它们为具体的区别,即线、面和整体的空间;我们以最简单的形式,从自身规定,也就是从解析因次的关系去看待它们时,便有了直线、平面、作为平方的平面和立方。直线有一经验的定量,但是随着平面,便出现了质,即方幂的规定;至于较细密的变形,例如随着平面的曲线也出现了质,我们可以置之不理,因为这里所涉及的,首先只是一般的区别。这里也产生了从较高的方幂规定到较低的过渡以及相反的过渡之需要,因为,例如直线规定便应当从已知的平面等等方程式导出,或是相反。——此外还有运动;对它所要观察的,就是它通过的空间及因此所用去的时间的大小比率;运动表现为各种不同的规定,如简单的匀速、匀加速、匀加速和匀减速的交替、回到自身等运动;由于各种运动,都是依照其空间、时间两环节的大小比率来表示的,于是为了这些运动,便从不同的方幂规定,产生了方程式;在这种情况下,可能需要从另一种运动或另一种空间大小来规定一种运动或与运动相连的一种空间大小,于是也同样引起运算从一个方幂函数到一较高或较低的方幂函救的过渡。——这两种对象的例子应当可以满足引用这些对象的目的了。
微分计算在应用中所呈现的偶然外貌,会因为意识到应用所能有的范围的本性和这种应用真正的需要与条件而大为简化。但现在的问题是需要进一步知道,在这些范围内,数学课题的对象的哪些部分之间有像微分计算特地建立起来的那样的比率。必须立即提出来说,这里有两种比率须加注意。一个方程式开方的运算,依其变最所导出函数来考察这一方程式时,所得的结果,本身真的不再是一个方程式而是一个比率;这个比率是真正微分计算的对象。正因此也就有了从较高方幂规定(原来的方程式)本身到较低方幂规定(导出的方程式)的第二种比率。我们在这里先把第二种比率放在一边;那在以后将是积分计算的特殊对象。
我们先来考察第一种比率,并且对于从所谓应用取得的环节的规定(这是运算兴趣所在),举一个最简单的曲线例子,这些曲线是由一个二次方幂的方程式所规定的。大家都知道坐标线的比率是由一个有方幂规定的方程式所直接给予的。基本规定的结果是与坐标线有关联的其他直线,如切线、次切线、垂直线等规定。但是这些线与坐标线之间的方程式,却是直线方程式;整体(这些直线被规定为某部分)就是直线的直角三角形。从包含方幂规定的基本方程式到那些直线方程式的过渡,现在就包含着上述的从原始函数(即是一个方程式)到导出的函数(即是一个比率,而且当然是被包含在曲线中的某些直线之间的比率)的过渡。现在需要找出来的,就是这些直线的比率和曲线方程式之间的关联。
最早的发现者只知道用完全经验的方式来陈述他们的发现,对于仍然是完全外在的运算不能加以评价,在这里提到一些历史方面的事,并不是没有兴趣的。我对此暂时满足于举牛顿的老师巴罗为例。他在《光学与几何学讲义》中,按不可分的方法来处理高等几何的问题,这种方法首先与微分计算的特点不同,他也说明了他规定切线的办法,“因为朋友们敦促过他”(第十讲)。这种说明的情况如何,这种办法如何被陈述为完全像外在的规则那样,——用的是和以前算术教科书中讲授算法的,“三数法”(59)或更恰当些的所谓“弃九法”同样的笔调:要对此有适当的概念,须读他的原书。他划出一些细微的线(这些细微的线后来被称为一条曲线的特殊三角形中的增量),于是立下章程作为单纯的规则,要把随方程式的展开而出现的那些增量的方幂或乘积诸项当作是多余的,加以省略(因为这些项所值是零,etenim isti termini nihilum valebunt);同样,假如一些项只含有原来方程式所规定的大小,它们也必须扔掉(——这就是后来从以增量构成的方程式中减去原来的方程式);最后,必须用纵坐标本身来代替纵坐标的增量,用次切线来代替横坐标的增量。假如这样说可以容许,那么,我们就要说这种办法不能以小学教师的方式来说明;——后一种代替是假定了纵横坐标的增量与纵坐标和次切线有比例,这种假定在普通微分方法中,成了切线规定的基础;而这个假定在巴罗的规则中,却赤裸裸表现其幼稚。一个规定次切线的简单方式,是已经发现了的;罗伯伐尔(60)和费尔马(61)方法也达到了相似之点,——求出最大值和最小值的方法(最小值便从这种方法出发),是依靠同样基础和同样办法的。要找到所谓方法,即那一类的规则,而又把它们搞成神妙莫测,这在当时曾经是数学的狂热病,这种神妙莫测的东西不仅很容易,而且在某种情况看来,也是必要的,其理由也同样是它很容易,——这是因为发明者只找到了一种经验的、外在的规则,而不是方法,即不是从公认原则演绎出来的东西。这些所谓方法,莱布尼兹从他的时代,牛顿也同样从同一时代并且从他的老师那里,直接承受下来了;这些所谓方法,由于形式的普遍化和可以应用,为科学开辟了新路,但也就从而有需要使办法冲破单纯外在的规则形态,并且有了对它作必要修正的企图。
我们若仔细分析这个方法,那么,真正的过程就是下面这样。首先,方程式中所包含的方幂规定(这当然是指变量的方幂规定),降低到它们的最初导数。但是这样一来,方程式各项的值便有了变化;因为再没有方程式剩下来,只是在一变量的最初导数与其他变量的最初导数之间产生了一个比率;代替px=y2有了p﹕2y,或是代替2ax-x2=y2有了a-x﹕y,这就是以后常常被称为
的那个比率。这方程式是一个曲线方程式,那个比率完全依靠这个方程式,从那里(这在上面就是按照一个单纯的规则)导出的,却反而是一个直线的比率,某些直线以此而有比例;p﹕2y或a-x﹕y,本身是从曲线的直线,即从坐标线,参数而来的比率;但是人们从这里还是没有知道什么东西。有兴趣的事,是要知道关于其他在曲线那里出现的直线,求出适合于它们的那个比率,即两种比率相等。——其次,问题是:由曲线本性所规定的,而又有这样比率的直线,是什么?——但这是久已知道的东西,由那种方法所获得的比率,就是纵坐标与次切线的比率。古人曾经用聪敏的几何方法求出这个;近代发明者所发现的东西,只是经验的办法,把曲线方程式如此安排,以便提供已经知道的那个第一种比率,它等于那包含它所要规定的直线(这里就是次切线)的比率。方程式的那种安排,一部分是有方法地去理解并造成的,即取导数(Differentiation),一部分却是发明了想象的坐标增量以及由这两个增量与切线的一个同样想象的增量所构成的想象的特殊三角形,于是由方程式的开方而找到的比率和纵坐标与切线的比率两者的比例性质,不仅不被表述为是经验地从旧知识得来的某种东西,而且是经过证明的东西。但是旧知识却以上述规则的形式,一般地,极其明白地证明自身假定是特殊三角形和那种比例性质的唯一的起因和有关的理由。
拉格朗日抛弃了这种假冒的货色,开创了真正科学的道路;理解问题所在,须归功于他的方法,因为这种方法就在于把为了解决问题而必须作出的两个过渡分开来,把每一方面都分别加以处理和证明。——在对过程作较详细的说明时,我们仍然用求出次切线这样初步问题的例子。这个问题的解决,一部分,即理论的、或一般的部分,即从已知的曲线方程式求出第一函数,这由它本身就可以调整就绪;这一部分给了一个线的比率,即直线的比率,这些直线出现于曲线规定的系统之中。问题解决的另一部分,是求出曲线中有这种比率的那些直线。现在可以用直接的方式(《解析函数论》第二部分第二章)办到这一点,即没有特殊三角形,这就是说无须假定无限小的弧和纵横坐标,也无须给它们以dx和dy(即那种比率的两端)的规定和那个比率立刻直接与纵坐标及次切线相等的意义。一条线只有在它构成一个三角形的边之时,它(一个点也如此)才有它的规定,正如一个点的规定也只是在这样的三角形中那样。顺便可以提一下,这是解析几何的基本命题,它之引入坐标线就像它把力的平行四边形引入力学中那样(这本来是同一回事),正因此,平行四边形才完全不需要费许多气力去找证明。——现在以次切线为一个三角形的一边,纵坐标及有关的切线为三角形其他的边。切线作为直线,其方程式便是p=aq(加上+b对于规定并无用处,那只是为了癖好普遍性的缘故才添上去的);
比率的规定便归在q的系数a之内,它又是方程式的有关的第一函数,但一般只需要把它看作是a=
,如以前所说,这是应用于曲线被当作切线的那种直线的规定。再者,现在既然假定了曲线方程式的第一函数,那么,它同样也是一条直线的规定;进一步说,既然假定了第一条直线的坐标线p与曲线的纵坐标y是同一的,那么,第一条直线被当作是切线与曲线相交的一点,也就是由曲线第一函数所规定的直线的起点,所以应该要指出的是:这第二条直线与第一条重合,即它是切线;用代数来表示,即因为y=fx,和p=Fq,现在设y=p,所以fx=Fq,而f′x=F′q。现在被当作切线来应用的直线,与由方程式而来并被其第一函数所规定的直线,是重合的,所以第二条直线是切线;证明这一点将由横坐标的增量i和被函数展开的规定的纵坐标增量来帮忙。于是这里也同样出现了那个声名狼藉的增量;但是为了方才所说的目的而引入增量,以及依增量而展开函数,都必须与以前提到过的为求出微分方程式和为特殊三角形而使用增量,很好地区别开来。现在这里的使用是有理由而必要的;这种使用是在几何范围之内,因为切线与曲线有一共同的相交之点,在这切线与曲线之间,并没有另外的直线能够同样落在这一点上并通过其间,这是属于切线本身的几何规定的事。于是切线或非切线的质,便以这种规定而归结到大小的区别,那条线既是切线,绝对较大的小(62)便因与此有关的规定而加于这条切线之上。这种似乎是相对的小,丝毫不包含经验的东西,即不包含依赖定量本身的东西;假如需要比较的大小是依赖于环节的区别,而环节的区别就是方幂的区别,那么,这种小便是由公式的本性在质的方面建立起来的;由于这种区别归结于i和i2而且这个i归根到底应当意谓着是一个数,于是便须设想i是一个分数,而i2本身便比i小;这样,可以把i当作是一个随意的大小的这种观念,在此便是多余的,甚至用得不是地方。对较大的小的证明,因此也与无限小毫不相干,在这里丝毫不须引用无限小。
对于笛卡尔的切线法,即使是仅仅为了它的美妙和它的今日已被遗忘但却是值得享有的荣誉,我也还愿意介绍它;此外,它与方程式的本性也有关系,关于这一点,以后在另一注释里还要谈到。笛卡尔在他的对别方面也很有益处的几何学中(第二册,第357页以下,全集第五卷,古冉版),讲述了这种独立的方法,在那里,所求的直线规定,也是从同样的导出函数里找到的,由于他在这种方法中,教授了方程式本性的伟大基础及其几何的结构,从而在很大程度上把解析推广到一般的几何。在他那里的问题,具有课题的形式,那就是画一条直线垂直于一条曲线的任何地点,由此而规定次切线等等;他的发现涉及当时有普遍科学兴趣的对象,这种发现是如此其几何式的,并由此而远远高出他的竞争者的单纯规则的方法(这种方法,前文已经提到过);人们可以体会他在那本书里对这种发现也踌躇满志,他说:“我敢说这在几何学中,不仅是我所知道的,而且是我从来想要知道的最有用、最一般的问题。”(63)他为解决直角三角形的解析方程式奠定了基础,这个三角形的形成,由于:(1)曲线上一点的纵坐标,而问题中所要求的直线应当在这一点上垂直,(2)这条直线本身,即垂直线,(3)被纵坐标和垂直线所切断的轴的一部分,即次垂直线。从一条曲线的已知方程式,无论是纵坐标或横坐标的值,现在都将在那个三角形的方程式中得到代替,于是便有了一个二次方程式(笛卡尔并且指出含有较高次的方程式的那些曲线,也怎样还原为这种二次方程式),在这个方程式中,那些变量只有一个出现,它或是平方,或是一次方幂;——一个平方的方程式(64),它起初看来像是所谓不纯的方程式。于是笛卡尔有了这样的想法,即:假如在一条曲线上所取之点,被设想为这条曲线与一圆相切之点,这个圆便将还在另一点与这条曲线相切,于是对于两个由此产生而不相等的x,便将发生两个方程式,它们具有相同的常数和相同的形式;——或者说只有一个方程式,但具有不同值的x。但是为那一个三角形,却只有一个方程式,在那个三角形中,垂直于曲线的,是弦,或说垂直线;被设想的是:曲线与圆相切的两点是重合的,所以曲线可以与圆相交。但是这样一来,平方方程式的不相等的方根x或y的这种情况也就消失了。但是在一个有两个相等方根的平方方程式中,未知的方根含有一次方幂,其所含之项的系数,就是那仅仅一个方根的两倍;这就有了一个方程式,所求的规定便可由这个方程式找到。这种步骤必须看作是一个真正解析头脑的天才的把握,反之,次切线和纵坐标与纵横坐标的所谓应当是无限小的增量之间全然臆断的比例,与上述步骤相比,便完全落后了。
由上述方式所获得的最后的方程式,它使平方方程式第二项的系数与双重方根或未知方根相等,这个方程式与用微分计算办法所找到的方程式是相同的。假如对x2-ax-b=0求微分便会有一个新方程式2x-a=0;或从x3-px-q=0得到3x2-p=0。这里也可以说这样导出的方程式,其正确完全不是自明的。在一有两个变量的方程式中,变量之所以不失其为未知数的这种特色,正因为它们是可变的,如上面考察过的,其所发生的结果,只是一个比率;这是由于已经指出过的很简单的理由,因为用乘方函数来代替方幂本身的地位,方程式两项的值便会变化,至于在这样变了值的两项之间是否还有一个方程式,这件事就本身说来,却仍然是未知的
=P这个方程式不过表示P是一个比率,对
此外并没有赋予什么实在的意义。从这个比率=P,还是同样不知道它与什么其他的比率相等;只有这个方程式,或说比例性,才对这个比率给了一种价值或意义。——如前所说,这种意义,即被称为应用的那种东西,是从别处,即从经验得来的,所以对于这里所谈的由求微分而导出的那些方程式,必须从别处知道它们是否有相等的方根,以便知道所得到方程式是否还正确。但是教科书中并没有明白注意到这种情况;当然这种情况是被消除了的,因为一个带有未知方根的方程式被归结为零,使其直接=y,于是求微分时,结果当然就只有
这一比率了。函数计算固然应该是和乘方函数打交道,微分计算固然应该是和微分打交道,但是绝不能由此得出结论,说取了微分或乘方函数的大小,它们本身也应该只是其他大小的函数。在理论的部分,只指示要导出微分或说乘方函数,还并没有想到那些被教导要按这样导出而处理的大小,本身也应该是其他大小的函数。
关于在求微分时省略常数,也还可以注意,取微分在这里意谓着常数在方根相等时,对于方根的规定是不相干的,因为那种规定由于方程式第二项的系数便已经穷尽了。和前引的笛卡尔的例子一样,常数本身就是方根的平方,所以方根从常数来规定,同样也可以从系数来规定,——因为常数也一般和系数同样是方程式的方根的函数。在普通表述中,所谓常数只是用加号(+)减号(-)与其余各项联系,省略这个常数,只是依办法的单纯机械作行的,为了求出一个综合表现的微分,便只对变量给予一并从原来的表现减去由此而形成的表现。常数的意义及它们本身在什么程度上是函数,依照这种规定,它们是有用有用:这些都没有谈到。
与常数的省略联系起来,关于求微分和求积分这两个以作类似于以前对有限和无限的名词所作的说法,即它们所包含的东西,倒是名词所说的反面。求微分是指建立差通过求微分,一个方程式反而降到较低的因次,(65)而省略是去掉了规定性的一个环节;如前所说,假定变量的方根么,方根间的差分也就取消了。反之,求积分时,却应该再数;方程式固然因此而得到积分,但是这意谓着恢复了以前的方根的差分,而被假定相等的东西将再取微分。——普词也增添了对事物本质的含混朦胧,一切都是用次要的、甚题风马牛不相及的观点来提出的,这种观点一部分是无限分、增量以及诸如此类,另一部分是一般已知的和导出的函的单纯差分,而并没有标明其特殊的,即质的区别。
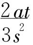
另一个使用微分计算的主要部门,是力学;关于它的对运动——的基本方程式所发生的不同的方幂函数,其意义带提到过;在这里,我愿意直接从这些意义谈起。简单匀速表示,即c=
或s=ct方程式,其中所经过的空间依一个单位c,即速度的大小,与所经历的时间成正比例,这个方用而进个增长,其省略,或是没名词,可的规定分;但是常数,又相等,那加上常取消过通的名至与主小的差数之间象——已经附的数学经验的程式对于求微分,并没有提供什么意义;系数c是完全规定了的,已知的,不能再有更多的方幂展开。——如何解析落体运动方程式s=at2,在这以前也已经提到过;——
=2at解析的首项、假如翻译为语言并连带地移植为存在物,那就是:一个总和(这个概念,我们久已去掉了)的项应该是运动的一部分,并且这一部分应该这样地加到惯性力(即简单匀速运动)里去,那就是:运动在无限小的时间部分中是匀速的,但在有限的、即事实上存在着的时间部分中,是不匀速的。当然,fs=2at,并且a和t的本身意义,都是已知的,这样也就一同建立了运动匀速的规定;既然a=
,于是2at=
就是普遍的;但是人们丝毫不因此而多知道什么。只是错误的假定,即2at是作为一个总和的运动的一部分,给予了一个像是物理命题的错误假象而已。a这个因数本身,是一个经验的单位,是一个定量本身,它需要归到重力上去;假如要用重力这一范畴,那倒不如说s=at2这一整体是结果,或更确切地说,是重力的法则。——从
=2at导出的命题也是一样,这命题说:假如重力停止发生影响,那么,物体便将以坠落终止时所达到的速度,在相等于坠落所费的时间内,通过它所曾经过的空间的两倍。——这里包含着一个本身很歪曲的形而上学;坠落的终止,或说物体坠落所终止的时间部分,它本身总之还是一个时间部分;假如它不是时间部分,那就是假定了静止,从而也就没有速度;速度的提出,只能按照在一定时间内,而不是在时间的终止部分所经过的时间。假如现在毕竟要把微分计算应用于完全没有运动的物理部门,例如光的情况(除了它在空间中的所谓传播之外)和颜色的量的规定,而将这里一个平方函数的第一导数也叫做速度,那么,这就必须认为是冒充存在物更要不得的形式主义。
拉格朗日说,我们在物体坠落的经验中找到s=at2方程式所表示的运动。在这个运动之后,最简单的运动将是其方程式为s=ct3的运动,但是自然界并没有表现过这类的运动;我们还不知道c这个系数能意谓什么。对系数c说,虽然是如此;反之,却有一个运动,其方程式是s3=at2,这就是太阳系天体运动的克卜勒规律;——这里第一个导出的函数
等等应该意谓着什么,以后用直接求微分来处理这个方程式,从这个出发点来阐释那种绝对运动的规律和规定:这些就恰恰相反,一定显得是很有兴趣的课题,解析在这种课题中会露出最可贵的光彩。
所以微分计算对运动基本方程式的应用,就本身说,并没有提供什么实在的兴趣;至于形式的兴趣,那却是从计算的一般机械作用来的。但是就运动轨道的规定的关系来解析运动,这却包含另一种意义;假如这是一条曲线,并且它的方程式也包含了较高的方幂,那么,这就需要从作为乘方函数的直线函数到方幂本身的过渡;由于获得那些直线函数,须从原来包含时间因数的运动方程式去掉时间,所以这个因数也须同时降到较低的展开函数,从这些展开函数,可以得到直线规定的方程式。这个方面引起对微分计算另一部分的兴趣。
以上所说的目的,在于强调并明确微分计算简单的特殊规定,用一些粗浅的例子来说明这种规定。这种规定之所以产生,在于:从一个方幂函数的方程式,求出展开项的系数,所谓第一导数;这个函数是一个比率,它在具体对象的诸环节中得到证明;如此由这个函数得来的方程式,便在那两个比率之间规定了这些环节本身。同样也需要简短考察一下积分计算原理以及这原理应用于积分计算特殊具体规定所发生的东西。这种计算的观点之所以已经简化并得到更正确的规定,因为它已不再被认为像与求微分对立时被称为累加法(Summations Methode)那样,在那时,增长还被当作是重要的成分,从而计算还好像与系列的形式有本质的联系。——这种计算的任务,起初也和微分计算的任务一样,是理论的,或者不如说是形式的;但是大家也都知道,它正是微分计算的反面;——这里是从一个函数出发,这个函数被认为是导数,并且是从一个还未知的方程式的展开而产生的次一项的系数,从这个导数应该找出原来的方幂函数;在展开的自然序列中必须被看作是原来的函数的,这里却是导出来的;而以前被认为是导出的函数的,这里却是已给予的,或一般开始的函数。但是这种运算的形式部分,似乎已经由微分计算实现了,因为一般由原来的函数到展开的函数的过渡及其间的比率,在那里已经确定了。假如一方面为了应用我们必须从那里出发的函数,另一方面又为了实现从这个函数到原来函数的过渡,在许多情况下,都必须采用系列形式作避难所,那么,首先便必须坚持这种形式本身与求积分的特殊原则并不直接相干。
但是这种计算的另一部分任务,就形式运算的关系看来,现在就是这种运算的应用。现在这种应用本身就是任务,即是要认识上面所指出的意义,一个特殊对象的已知的、被认为第一导数的原来函数所具有的意义。这种理论本来似乎也可以在微分计算中完全了结的;但是出现了另外一种情况,使得事情不这样简单。因为在这种计算中,发生了这样的事,即是由一个曲线方程式的第一导数得到一个是直线的比率,所以从而就知道求这个比率的积分,也便有了在纵横坐标的比率中的曲线方程式;或者说,假如有了一个关于曲线平面的方程式,那么,微分计算便应该已经告诉人们关于这样方程式的第一导数的意义,即这种函数表示纵坐标为横坐标的函数,于是也就表示了曲线方程式。
但是现在问题所在是:对象的规定环节哪一个本身在方程式中是已知的,因为解析处理只能以已知的作出发点,并从那里过渡到对象其余的规定。例如已知的,既不是曲线的一个平面空间的方程式,也不是由曲线旋转而发生的某种立体,也不是曲线的一段弧,而只是在曲线本身的方程式中的纵横坐标的比率。因此,从那些规定到这个方程式本身的过渡,是不能够在微分计算中已经得到处理的;求出这些比率是要留给积分计算来做的。
但是从前又曾经指出过的,有较多变量的方程式,求它的微分,所给予的展开方幂或微分系数,不是作为一个方程式,而是作为一个比率;于是任务就是要为这个是导出函数的比率,在对象的环节中,指出与它相等的第二个比率。另一方面,积分计算的对象,是原来的函数对导出的(这里应该是已知的)函数的比率本身,并且任务是在已知的第一导数的对象中,指出那种需要去求得的原来函数的意义;或者不如说,由于这种意义(例如一条曲线的平面,或要使其变直的、被想象为直线的曲线等),已经被宣布为问题,任务就是要指出这样的规定将由原来的函数找到,并且指出什么是对象环节,什么就在这里必须被当作是(导出)函数的开始函数。
把差分观念当作无限小的观念来使用的那种普通方法,现在却把事情弄得很容易;对于求曲线的平方,它就把一个无限小的长方形,即纵坐标和横坐标的原素(即无限小)的乘积当作不等边的四边形,这个不等边的四边形以对着横坐标无限小部分的那个无限小的弧为它的一边;于是乘积便在以下的意义有了积分,即积分给予了无限多的不等边四边形的总和,即平面,而这个平面所需要的规定,就是它的那种原素的有限的大小。同样,这个平面,由弧的无限小以及属于此种无限小的纵横坐标,形成了一个直角三角形,在这个三角形中,那个弧的平方须等于其他两个无限小的平方之和,求后两者的积分所得的弧,是被当作一个有限的弧的。
这种办法,以那种一般发现为前提,那种发现为解析的这一部门奠定了基础,它在这里的方式,就是:成了平方的曲线,变直了的弧等等,对曲线方程式所给予的某一函数,有着所谓原来函数对导出函数那样的比率。因此现在所要知道的,是:假如一个数学对象(例如一条曲线)的某一部分被认为是导出的函数,那么,它的哪一另外的部分是由相应的原来函数来表示呢?人们知道,假如由曲线方程式给予的纵坐标函数被认为是导出的函数,那么,相对的原来函数就是这个纵坐标所切的曲线面积大小的表现;假如某一切线规定被认为是导出的函数,那么,它的原来函数就表现为属于这个切线规定的弧之大小等等;现在这些比率构成一个比例,它们一个是原来函数对导出函数的比率,另一个是数学对象两个部分或两种情况的大小比率;但是使用无限小并以它作机械运算的那种方法,却省掉了对这一点的认识和证明。它特殊的聪明功绩,是从别处已经知道了的结果里,找出一个数学对象的某些和哪些方面,与原来函数和导出函数有比率。
在这两个函数中,导出的函数(或说它既是已被规定的,那就是乘方的函数),它在这里的计算中,相对于原来函数而言,是已知的,而原来函数却应该通过求积分,从那个导出的函数找出来。但是这个导出的函数既不直接是已知的,而数学对象的哪一部分或规定,应该被看作是导出的函数,以便把它还原为原来的导数,求出对象的另一部分或规定(它的大小就是问题所要求的),这个部分或大小,本身也不是已知的。普通的方法,如已经说过的,是立刻以导出函数的形式,把对象的某些部分想象为无限小;这些部分,一般可以从对象原来已经给予的方程式,通过求微分而规定(——正如无限小的纵横坐标是为了使一条曲线变直)。这种方法为此便采用这样的部分,它们可以与同样被设想为无限小的问题对象(这在前一例中,就是弧)有联系,这种联系是初步数学中已经确定的;因此,假如这些部分是已知的,那么,问题所要求得的那一部分的大小,也就被规定了;所以为了求曲线的长,上述的三种无限小便与直角三角形的方程式联系起来;为了求曲线的平方,纵坐标和无限小的横坐标便联系在一个乘积之中,因为平面在算术上,一般被认为是直线的乘积。于是从平面、弧等等这样的所谓原素到平面、弧等等的大小之过渡,其本身只被当作是从无限多的原素的无限表达过渡到有限表现,或说是它们的总和;所求的大小,应该是由这些无限多的原素构成的。
因此,说积分计算单纯是微分计算倒转过来的、但一般较为困难的问题,只能是肤浅的说法;积分计算的真实兴趣,倒不如说是唯在于具体对象中原来函数和导出函数的相互比率。
拉格朗日既不用那些直接假定的便易方式来免除任何问题的困难,也不同意在这一计算部门那样做。用少许几个例子,来指出他的办法的细节,这同样有助于说明事物的本性。他的办法正是以这一点为自己的任务,即,要本身证明在一个数学整体(例如一条曲线)的特殊规定之间,有着原来函数与导出函数的比率。但是,由于这种比率的本性,这一点在这个范围内,是不能用直接的方式来完成的;因为在数学对象中,这个比率把曲线和直线,把直线的因次及其函数和平面的因次及其函数等不同质的东西联系起来了;所以其规定只可以看作是一较大和一较小的东西之间的中项。这里当然又出现了带着加减号(plus und minus)的增长形式,而那个活泼有力的“展开”(Développons)也就在它的位置上了;但是正如以前所说,这里的增长只有算术的、有限的意义。需要规定的大小,它比一个易于规定的极限大些,比另一极限又小些,假如展开这种条件,便将引导出这样的事:例如纵坐标的函数,对面积的函数而言,就是导出的第一函数。
拉格朗日对求曲线的长的说明,由于他从亚基米德原理出发,其饶有兴趣之处在于理解亚基米德方法之翻译为近代解析原理,这使我们对于用另一种方法去机械地搞的事业,可以洞见其内在的、真正的意义。这种办法的方式与方才所举的办法(66),必然类似;亚基米德原理并没有给予直接的方程式,这个原理是说一条曲线的弧比包的弦较大,比在弧的终点及其交点间所做的两条切线之和较小。那种亚基米德的基本规定翻译成近代解析形式,就是发明一种表现法,其本身是一个简单的基本方程式,而那种亚基米德的形式却只是提出要求,要在每时每刻本身都是规定了的一个太大者和一个太小者之间无限进展,这种进展永远总是又有一个新的太大者和一个新的太小者,但它们的界限总是愈来愈紧密地接近。借助于无限小的形式主义,立刻便立下了dz2=dx2+dy2这一方程式。拉格朗日的解说,由上述基础出发,却相反地指出弧的大小,对一个导出的函数说来,是原来的函数,其特殊之项,本身就是一个函数,这个函数是由一个导出函数与纵坐标的原来函数的比率构成的。
因为在亚基米德的办法中,也像以后在克卜勒立体几何学对象的讨论中那样,都出现了无限小的观念,所以这一点常常被当作权威来引用,在微分计算中便使用了这个观念,而不去强调特殊的和有区别的东西。无限小首先意谓着这样的定量的否定,即所谓有限表现或完成了的规定性之否定,这样的规定性即是定量本身。同样,在后继的伐勒里乌斯(67)、卡伐列里(68)等人的著名方法中,都是以对几何对象的比率之考察为基础,各种规定也首先是只从比率方面来考虑,因此之故,那些规定的定量本身这一基本规定被放在一边,从而那些规定就认为应该是非大小的东西。但是一方面在这里并没有认识和注意到潜藏在单纯否定规定后面的一般肯定的东西,这在前面曾抽象地表明为质的量规定性,而这种规定性在方幂比率中便更加确定;——另一方面,因为这种比率自身又包括一定数量的更确定的比率如方幂的比率及方幂的展开函数等,所以它们又应该以那个无限小的一般的和否定的规定为基础,从那里引导出来。在方才举出的拉格朗日的解说中,找到了包含在亚基米德阐明问题的方式中的那种确定的肯定方面,因此对于那种受无界限的超越之累的办法,也就给了一个正确的界限。近代发明的本身伟大处,和它解决以前无法驾驭的问题,以及用简单方式处理以前可解决的问题的能力,这些都完全是由于发现了原来的和所谓导出的事物间的比率,以及发现一个数学整体中具有这种比率的那些部分。
大小比率的特殊方面,是现在所谈论的特种计算的对象,对于需要强调这一点的目的,以上引证大概可以满足了。这些引证曾经能够限于简单的问题及其解决方式;要着手检查微积分计算所谓应用的全部范围,并且以所发现的原理为应用的基础,将一切应用的问题及其解决都还原到原理那里来完成归纳:这对于此处唯一有关的概念规定既不适宜,也非著者能力所及。但是以上的论述,也足够指出每一特殊的计算方式,都以大小的一种特殊的规定性或比率为对象,而这样的比率便构成了加、乘、乘方、开方根、计算对数、系列等等,和这一样,微积分计算也是如此;就属于这种计算的东西而言,方幂函数及其展开或乘方的函数的比率这个名词,或许是最合适的,因为这个名词对事物的本性含有最确切的见解。不过,既然依据其他大小比率的运算如加法等,一般都在这种计算中使用,于是对数、圆、系列等比率也同样应用了,这特别是为了使那些从展开函数导出原来函数所必需的运算有更加可以驾驭的表达。微积分计算固然共同具有较确切的兴趣,要用系列形式来规定展开的函数,这些函数在系列中叫做各项的系数;但是因为这种计算的兴趣仅仅涉及原来函数和它的展开的最近的系数,于是系列便想要依照具有那些系数的方幂而排列的众多的项,表现为一个总和。在无限系列中出现的无限物,就是一般定量的否定物的不确定的表现,它与包含在这种计算的无限物中的肯定规定,毫无共同之处。同样,无限小作为增长,展开借助于它才变为系列的形式,它对于展开,只是一种外在的手段;而它的所谓无限性,除了作为那种手段的意义而外,并没有任何其他的意义;因为所要求的东西,事实上并不是系列,所以系列引出的东西太多,要费多余的努力再把它去掉。拉格朗日虽然由于他的方法,在所谓应用中突出了真正的特殊性,因为它无须将dx,dy等强加于对象,直接指出了属于对象的导出(展开的)函数规定的那一部分,从而表现出系列形式与此处所讨论的问题无关;但他却又喜欢采用系列的形式,所以他的方法也就同样遭到上述的麻烦。(69)
微分计算的无限小,就它的肯定意义说,就是质的大小规定性,对于这种规定性,我们曾较详细地指出它在这种计算中,不仅出现为一般的方幂规定性,而且是一方幂函数与展开方幂的比率那种特殊的方幂规定性。但是这种质的规定性所呈现的形式,还更为广泛,也可以说更为微弱;这种形式以及与此有关的无限小的使用和无限小在这种使用中的意义,还应该在这个注释中加以考察。
因为我们从以上所说的出发,在这方面便须首先记住,从解析方面看来,各种方幂规定之所以出现为仅仅是形式的,并且完全是同质的,那是因为它们意谓着数的大小,本身没有彼此间质的不同。但是解析的比率应用于空间对象时,就完全显出了它的质的规定性,那就是从线到面、从直线到曲线等等规定的过渡。这种应用自身又带来这样的事情,即:空间的对象,就其本性说,是以连续大小的形式给予的,现在却要用分立的方式来把握它。所以面就是一定数量的线,线就是一定数量的点等等。这种解决唯一有兴趣之点,在于它本身规定了线分解为点,面分解为线等等,以便从这种规定出发,能够以解析的方式进展,真正说来,即是以算术的方式进展;对于需要找出来的大小规定而言,这些出发点就是原素;具体物(即连续大小)的函数和方程式应当从那些原素导引出来。对使用这种办法显得极有兴趣的问题,要求在这些原素中有一个自为地规定的东西作出发点;这与那种间接过程相反,因为那种过程只能相反地以极限开始;那个自为地规定的东西就处在极限之间,是那种过程所趋向的目标。纵使可以找到的,只是继续向前规定的规律,而不能够达到所要求的完全的规定、即所谓有限的规定,然而两种方法所得的结果是一样的。第一个想到那种倒转过来的过程,而将分立的东西作为出发点,这项荣誉应归于克卜勒。当他说明他对亚基米德测量圆的第一定理如何了解时,他以很简单的方式表达了这一点。亚基米德的这第一定理是大家都知道的,那就是:假如一个直角三角形的勾等于一个圆的半经,股等于圆的圆周,那么这个圆便等于这个直角三角形。因为克卜勒把这一定理的意义当作是圆周所有的部分和它所有的点同样多,即无限多,而每一部分都可以看作是一个等腰三角形的底线等等,所以他就把连续物的分解表现为分立物的形式。这里出现的无限这一名词,与它在微分计算中应该有的规定,还离得很远。——假如现在为这些分立物已经找到了一种规定性或函数,那么,以后还又应该把它们总括起来,本质上作为连续物的原素。但是既然点的总和不能给予线,线的总和不能给予面,那么,这就是点立刻已经被认为有线的性质,线也有面的性质了。但是那些有线的性质的东西还不就是线(假如它们被当作定量,那就会是线了),所以它们被想象为无限小。分立物只能够是一个外在的总括,在总括中的环节,保持着分立的一的意味;从这些一所出现的解析的过渡,只是到它们的总和,同时,这种过渡并不是由点到线或由线到面等几何的过渡;所以对于那些以点或线为其规定的原素,同时也就给予了(对以点为规定的原素)以线或(对以线为规定的原素)以面的性质,从而像是由细小的线的总和便成了一条线,由细小的面的总和便成了一个面。
需要取得质的过渡这一环节并为此而以无限小作避难所,这一点必须看作是一切想要消除上述困难而本身却成了最大困难的观念的来源。要避免这种救急的应付,那就必须能够指出似乎是单纯加法的解析法,事实上本身已经含有乘法。但是在这方面,又出现了一个新的假定,它构成把算术比率应用于几何形状的基础;那就是算术的乘法对于几何规定,也是一种到较高因次的过渡,——一些大小,按照其空间的规定而言,是线;它们的算术的乘法,同时就是线成了面的规定那样一个乘积;3乘4(直线的)尺,是12(直线的)尺,但3(直线的)尺乘4(直线的)尺却是12(平面的)尺,而且当然是平方尺,因为两者既是作为分立的大小,其单位是同一的。直线与直线相乘,起初显得似乎有些荒谬,因为乘法只涉及数,是数的变化,这些数与其由过渡而成的东西,或说乘积,是完全同质的,不过大小变化了而已。另一方面,所谓线本身与线之相乘——这被称为积诸线为线(ductus lineae in lineam),就像积诸面为面(plani in planum)那样,积诸点为线(ductus puncti in lineam)也是如此——这不单纯是大小的变化,而是线作为空间的性质的规定性、作为一维(Dimension)的变化;必须把线过渡为面理解作线超出自身之外,正如点超出自身之外为线,面超出自身之外为立体那样。说点的运动就是线等等,其所想象的,与上面所说,是同一的东西;但是运动包括时间规定,并且在那种观念中,更像仅仅是情况的偶然的、或外在的变化;而需要采取的,却是表现为自身超出的概念规定性,——即是质的变化,并且在算术方面,它就是(如点等等)单位与(线等等)数目的相乘。这里还可以注意到在面超出自身时,便会出现面与面相乘,而发生算术乘积与几何乘积有区别的假象,因为面的超出自身,作为积诸面为一面(ductus plani in planum),在算术方面,会得出两个二维规定的相乘,从而会得出一个有四维的乘积,但这乘积却由几何的规定而降低到三维。假如说在一方面,数因为以一为根本,所以对外在的量的事物给予了固定的规定,——那么,它的相乘也同样是很形式的;把3·3当作数的规定,其自乘便是3·3×3·3;但是同一的大小,作为面的规定,其自乘却在3·3·3那里便被遏止住了,因为空间虽然被想象为从点,这个仅仅是抽象界限出发前进,但它却以第三维为它的真实界限,即从线出发的具体规定性。上述区别,对于自由运动,可以证明是很有效果的;在自由运动中,其空间的一方面是受几何规定(s3﹕t2的克卜勒定律)支配的,其时间的另一方面,是受算术规定支配的。
这里所考察的质的方面,如何与前一注释中的对象不同,可以无须更加解说便自然明了。在前一注释中,质的方面包含在方幂规定性之内;在这里,它却像无限小那样,仅仅在算术方面对乘积而言是因数,或者对线而言是点,对面而言是线等等。那个必须从分立物(连续大小被想象分解为这种分立物)到连续物的质的过渡,现在将作为加法来完成。
但是这个似乎单纯的加法,事实上自身却包含着乘法,即包含从线的规定到面的规定之过渡,例如一个等边四边形的面积等于两条相互平行线之和与其高之半的乘积,就最简单地表现了这一点。这个高被想象为一些应该加在一起的一定数量的分立的大小的数目。这些大小是线,它们是在那两条作为界限的平行线之间并与其平行;它们的数量是无限多的,因为它们应该构成面,但又是线,为了成为有面的性质的东西,便必须随着否定而建立。为了避免从线的总和须得出面这样的困难,便立刻把线当作面,但同时却当作是无限细窄的面,因为它们只是以不等边四边形平行界限的带有线的性质的东西为其规定。它们是平行的,并且以不等边四边形另外两条直线的边为界限,于是它们就可以被想象为是一个算术级数的诸项;各项的差分,一般是相同的,但并不需要规定,而级数的首项和末项就是不等边四边形的那两条平行线;这个级数的总和,就是大家知道的那两条平行线与全项数目之半的乘积。后一定量只是完全对无限多的线这一观念而言,才被叫做数目;它是一个连续物,即高的一般大小规定性。很明显,所谓总和,同时就是积诸线为一线(ductus lineae in lineam),即线与线相乘,按照上面的规定,就是带有面的性质之物的发生。在长方形这种最简单的情况下,a,b两因数中每一个都是一个单纯的大小;但是以后即使在不等边四边形这样最初步的例子中,便已经只有一个因数是其高之半这样单纯的东西,而另一个因数,则相反地是由一个级数来规定的;后一因数也同样有线的性质,但是它的大小规定性较为复杂;因为这种规定性只能由一个系列来表示,这就是说要解析地、即算术地把这个系列总加起来;其中几何的因素是乘法,是从线维到面的过渡的质;前一因数只是为了后一因数的算术规定才被认为是分立的,就本身而言,它也和后一因数一样,是一个有线的性质的东西的大小。
把面想象为线之总和这样的办法,当乘法本身与结果的目的无关时,也常常被使用。假如所从事的,是要指出在一方程式内的大小不是定量,而是一个比例,上面所说的情况便出现了。这是人所共知的证明方式,例如一个圆的面积与一个以此圆的直径为大轴的椭圆面积之比,正如大轴与小轴之比,因为这两种面积,每一个都被认为是与它有关的纵坐标的总和;椭圆的每一纵坐标与圆的相应的纵坐标之比,也正如小轴与大轴之比:所以得出结论说,纵坐标的总和(即面积)的比例也是一样的。那些想要避免面为线之总和这一观念的人,使这些纵坐标成为宽度无限小的不等边四边形,这种救急的应付是很普通而完全多余的;因为方程式只是一个比例,所以平面的两个线的原素,只有一个得到比较。另一原素、即横坐标轴,在椭圆和圆里被认为是相等的,是算术的大小规定的因数,即是等于1,因此,这个比例完全只依靠一个进行规定的因素的比率。对于面的观念必须要有两维;但是在这个比例中所应指出的大小规定,却仅仅只涉及一个因素。对这一因素加上总和的观念,使其顺从或帮助这观念,真正说来,这是误解了此处问题所在的数学规定性。
这里所讨论的,也包含了前面提到过卡伐列里不可分方法的理由根据,所以它也同样得到论证,无须逃难到无限小那里。当他考虑到面时,不可分的东西就是线,当他考虑到梭锥体或圆锥体时,不可分的东西就是平方或圆面等等;他称那些被认为已确定的底线或底面为准尺(Regel);这是一个常数,对一个系列的关系说,那就是系列的首项和末项;有了常数,那些不可分的东西就将被认为是平行的,即从形状看来,它们是有同一规定的。现在,卡伐列里的一般原理是(《几何习题》第六卷;后来的著作《习题》第一卷,第6页):“一切形状,无论平面的或立体的,都与它们的一切不可分的东西成比例,并集体地(collective)加以比较,假如在这些不可分的东西中有一共同的比率,就分配地(distributive)加以比较。”为此目的,他以有同底同高的形状,来比较那些与底线平行并与底线有同等距离这样作出的诸线的比率;一个形状的一切这样的线,都有一个同一的规定,并构成形状的全部内容。例如他以这样的方式,也证明了诸同高的平行四边形与其底线成比例这一基本的命题;在两个形状中所作出的每两条与底线有同等距离并与底线平行的线,是有两底线的同一比率的,所以那两个形状全部也如此。事实上,这些线不是构成作为连续的形状的内容,而是构成在算术上应该被规定了的内容;有线的性质的东西是这种内容的原素,必须通过这种原素,内容的规定性才可以掌握。
这里我们便被引导去思索一种区别,这种区别之发生,是关于一个形状的规定性究竟在哪里,即:规定性的情况或者是像这里的形状之高那样,或者是外在的界限。假如它是外在的界限,那么,就须承认形状的连续性,可以说是随着界限之相等或比率而来的;例如相互重合的形状之相等,是依靠作界限的诸线相互重合。但是在同高同底的平行四边形那里,只有底这一规定性才是外在的界限;至于引出对外在界限作规定的第二原则的却是高,而不是一般的平行性,形状的第二主要规定,即它的比率,就依靠高。欧几里得关于平行四边形有同高同底者相等之证明,便是把它们还原为三角形,即外在被界限的连续物;在卡伐列里的证明中,首先是关于平行四边形的比例性之证明中,界限一般地是大小规定性本身,它被解说为可以应用到每两条以相等距离在两个形状中作出的线。这些与底线相等或有相等的比率之线,集体地看来,便给予了有相等比率的形状。线的堆集观念与形状的连续性相抵触;但是仅仅对线的考察,已经完全穷尽了问题所在的规定性。不可分这种观念是否会引到需要依照数目来比较无限的线或无限的平面,对于这种困难,卡伐列里也常常给了答案(《几何学》第二卷,第一命题,注释);他作了正确的区别,他不比较我们所不知道的无限的线或平面的数目(如已经提到过的,那不如说是被当作辅助手段的空洞观念),而是只比较大小,即等于那些线所包括的空间那种量的规定性本身;因为这空间被封闭在界限里,所以它的大小也就封闭在同一界限之内;他说,连续物不是别的,正是不可分之物本身;假如连续物在不可分之物以外,那么,它就是不可比较的了;但是要说有了界限的连续物不能相互比较,那是不合情理的。
可见卡伐列里想把属于连续物外在存在的东西,与其中含有连续物的规定性并单单为了比较和为了关于连续物的定理的缘故而必须强调的东西区别开。他为此而使用的范畴,如连续物由不可分之物综合而成或由其构成之类,当然是不够满意的,因为这同时需要连续物的直观,或如上面所说,需要连续物的外在存在;假如不说“连续物不是别的,正是不可分之物本身”,而说:连续物的大小规定性不是别的,正是不可分之物本身的大小规定性,那倒会是更正确,从而也会立刻更明白些。有些学派从不可分之物构成连续物这一观念,得出有更大和更小的无限物这样坏的结论,卡伐列里却并不这样做,他在以后还表现更明确地意识到(《几何学》第七卷前言)他并不由于他的证明方式而被迫要有连续物由不可分之物综合而成这样的观念;连续物只是随不可分之物的比例而来的。他之采用不可分之物的堆集,并不是说它们似乎为了无限数量的线或平面的缘故而陷入无限规定之中,而是由于它们自身有了划出界限的明确状态和本性。但是为了搬走这块绊脚石,他到底不辞辛苦,还在专门为此而增加的第七卷中,用不杂有无限性的方式,来证明他的几何的主要命题。这种方式把证明归结到以前引过的普通的形状重合形式,即以前说过的作为外在空间界限这种规定性的观念。
关于这种重合形式,首先还要加上一个评语,即它对于感性的直观,简直可以说是一种很幼稚的帮助。在关于三角形的基本命题中,设想有两个三角形并列着,它们每一个都有六个部分,假定一三角形有三部分与另一三角形相应的三部分相等,那么,就将证明这两个三角形是彼此相合的(kongruent),即这一三角形的其余三部分也与另一三角形的那三部分的大小相等,——因为它们借前三部分相等便彼此重合。假如更抽象地来把握事物,那么,正是因为在两形中每一对彼此相应部分之相等,现存的才只有一个三角形(70);在这个三角形中,有三部分是被假定为已经规定的,于是其余三部分的规定性也随之而来。规定性以这种方式将被证明在这三部分中已经完全了,所以对规定性本身说来,其余三部分是多余的,是感性存在,即连续性的直观的多余。用这种形式来说,质的规定性便与直观中所呈现的东西,即与作为一个自身连续的整体,有了区别;而重合则使人意识不到这种区别。
随平行线而来和在平行四边形那里,如以前说过的,却出现了一种新的情况,一部分是仅仅角的相等,一部分是形状的高,而形状的界限,即平行四边形的边,却与高不同。这里突出了含糊不清之点,就是在这些形状中,除了作为外在界限的底边这一个边的规定性而外,必须在什么程度上来把另外的外在界限,即平行四边形的另一个边或高,当作另外的规定性呢。在两个有同底同高的形状里,一个是直角的,一个却有很锐的角,因而其相对的角是很钝的角;对直观说来,后者可以很容易显得比前者更大些,因为直观将后一形状现有的大边当作是规定性的,并依照卡伐列里的想法,将两个面积按可以通过它们的平行线的数量加以比较;较大的边可以看作是比长方形垂直的边可能有较多的线。可是这样的设想并不曾有助于对卡伐列里的方法提供非难,因为在这两个平行四边形中为了比较而设想的平行线的数量,同时就已经假定了它们彼此距离相等或与底线距离相等,从而得出结论说:规定性的另一因素,是平行四边形的高,不是它的另一边。假如两个平行四边形有同高同底,但不在一个平面上而与一第三平面造成不同的角时,若加以比较,上面的情况就改变了;假如人们想象第三平面通过那两个平面并与自身平行而向前运动时,那么,由此而产生的平行截面,其相互的距离便不再是相等的,而那两个平面也就不相等了。卡伐列里仔细注意过这种区别,他将它规定为不可分之物的垂直移动(transitus rectus)与偏斜移动(transitus obliquus)的区别(见《习题》In.XII以下,并且在《几何学》第一、二卷中也已经有了),于是便截断了可能在这方面发生的肤浅的误解。巴罗在前面引过的他的著作中(《几何学讲义》第二卷第21页),也同样用过不可分的方法,可是他已经把这方法和一个假定纠缠不清;这个假定就是:一个曲线三角形(如所谓特殊的三角形)与一直线三角形,假如两者是无限的,即很小的,便可以相等。这个假定由他传到他的学生牛顿和别的同代数学家,其中也有莱布尼兹。我记得他在前书中引证了达盖(71)对此的责难,达盖也是当时从事研究新方法的聪明几何学家。达盖所提出的困难也同样是关于在计算圆锥体和圆球体的面积时,对于以应用分立物为根据的考察,应该把什么线当作是规定的基本因素。达盖斥责不可分的方法说,假如需要计算一个圆锥体的面积,那么,按照那种原子主义的方法(72),就将想象圆锥体三角形是由与底线平行、与轴垂直的直线综合而成的,这些直线同时又是圆的半径,圆锥体的面积就是由这些半径构成的。现在假如这个面积被规定为各圆周之总和,而这总和又是由各圆周的半径的数目,即由轴的大小,或说由圆锥体之高所规定的;那么,这个结果却与亚基米德以前所教导的、所证明的真理相矛盾。于是巴罗与此相反,指出为了规定面积所必须采用的那条线,不是轴而是圆锥体三角形的边,它的旋转产生了面积,因此必须用这个边,而不是轴,作为对圆周数量的大小规定性。
这类的责难和犹疑不定,其根源唯在所使用的观念不明确,以为线由无限数量的点构成,面由无限数量的线构成等等:这种观念使线或面的本质的大小规定性暗昧不明。——这些注释的用意就在于要指明那些肯定的规定,由于无限小在数学中的各种使用,可以说是被留在后台了;它们被包裹在单纯的否定范畴之中,必须把它们从那层云雾里抉发出来。在无限的系列那里,和在亚基米德的圆测量法那里一样,无限物只是意味着进一步规定的法则是已知的,不过所谓有限的、即算术的表现不曾给予而已,所以把曲线归结为直线是办不到的;这种不可通约性是它们的质的不同。分立物与连续物,其质的不同,一般也同样含有否定的规定,使其像是不可通约的,并且以如下的意义引来了无限物,即连续物(被当作是分立的),就它的连续的规定性而论,不应该再有定量。连续物,在算术方面被当作是乘积,因此自身被当作是分立的,即分解为原素,这些原素就是连续物的因数;连续物的大小规定性就在这些原素之中;正因为它们是原素或因数,它们才属于一较低的维;并且,它们是一个大小的原素或因数,只要有了方幂规定,它们就是属于比这个大小较低的方幂。就算术而论,这种区别似乎是单纯的量的区别,像方根与方幂或任何方幂规定性的区别那样;可是当这种表现的式子仅仅涉及量的事物本身时,例如a﹕a2,或d.a2=2a﹕a2=2﹕a或t﹕at2的引力律,那么,它就给予了什么也没有说的1﹕a,2﹕a,1﹕at等比率;这些比率的各项,对它们的单纯的量的规定来说,必须用不同的质的意义使它们相互分开,譬如s﹕at2,作为一种质的大小,因此而被表现为另一种质的大小的函数。于是呈现于意识的,便只是量的规定性;用这种规定性,按它的方式去运算,毫无困难;要用一条线的大小与另一条线的大小相乘,也不会有麻烦;但是这些大小相乘,立刻便产生了从线过渡为面这样质的变化;在这种情况下,一个否定的规定出现了;这种规定引起了困难;理解了它的特点和事物的简单本性,困难是可以解决的;但是用无限物来帮忙,想由此消除困难,却反而只是陷于混乱,使困难完全悬而未决。
【注释】
(1)参看第120页。
(2)参看第120页。
(3)反思的环节,指同一与区别。——译者注
(4)“必须……概念上去”一句,黑格尔说得较为简括,并非逐字征引。参看蓝译本第36页。——译者注
(5)参看蓝译本第36页,重点是黑格尔加的。——译者注
(6)参看第120页。
(7)莫德拉图,新毕达哥拉斯派,尼罗王时代人。——原编者注
(8)参看第120页。
(9)前面的多(Vieles),是定量以前的环节,与一相对,这里所说多数(Mehreres),是定量已经规定为数以后的环节。黑格尔在抽象概念发展中,往往用寻常的字眼而又附加一些独特的意义,因而更增加了晦涩。——译者注
(10)他物,指数目。——译者注
(11)这些规定,指定量、数等。——译者注
(12)参看蓝公武中译本第277页。——译者注
(13)引文中的重点,都是黑格尔加的。——译者注
(14)两者,指定量及他物。——译者注
(15)以下一段引文,与现在流行的各版本不同,尤其后半出入很大。黑格尔引用的版本现已无从查考,引文中重点是黑格尔加的。关于这一段可参看伏尔兰德本第186页,商务印书馆中译本,1960年,第164页。——译者注
(16)《实践理性批判》,伏尔兰德本第186页,商务印书馆版第164页。这一段文字仍与现在流行版本差别很大。重点是黑格尔加的。——译者注
(17)《实践理性批判》,伏尔兰德本第186页,商务印书馆版第164—165页,词句仍略有出入。重点和括弧内的词句是黑格尔加的。——译者注
(18)黑格尔曾多次阐述“不同”“区别”“差异”等都是关系,这里是指康德的自然规律,即使与意志不同,也与意志没有本质关系。——译者注
(19)两者,指意志与自然。——译者注
(20)参看第120页。
(21)参看第120—121页。
(22)参看《纯粹理性批判》,蓝译本第330页。重点是黑格尔加的。——译者注
(23)参看第120—121页。
(24)参看第120—121页。
(25)《纯粹理性批判》,篮译本第330页。重点是黑格尔加的。——译者注
(26)参看第120—121页。
(27)《纯粹理性批判》,蓝译本第331页。此处黑格尔是概括大意,并非逐句征引原文。——译者注
(28)参看第120—121页。
(29)参看第121页。
(30)参看第121页。
(31)见《纯粹理性批判》中对宇宙论第一个二律背反正题的注释。——黑格尔原注
(32)《纯粹理性批判》,蓝译本,第332页,中间删略了关于世界和时空的几句话。——译者注
(33)《纯粹理性批判》,蓝译本,第333页,重点是黑格尔加的。——译者注
(34)参看第122页。
(35)见斯宾诺莎《伦理学》第一部分,命题八,附释一。贺麟译本第7页。——译者注
(36)按指《伦理学》第一部分,公则(五),贺麟译本第4页,以下引文,仍是《书信集》中语。——译者注
(37)参看第122页。
(38)参看《自然哲学之数学原理》,郑太朴译,商务印书馆版,第60—61页。——译者注
(39)卡伐里利(Cavalieri,1598—1647),博洛尼亚(Bologna)的数学教授,著有:《不可分的连续的新几何学》,1635年;《几何学习题》,1647年。——原编者注
(40)参看第122页。
(41)拉萨尔·尼古拉·马格里特·卡尔诺伯爵(Graf Lazare Nicolas Marguerite Carnot,1753—1823),共和国军“胜利的组织者”,一直到1815年被放逐时,在政治上和军事上都同样是重要人物,死于马格德堡。他的《关于微分计算的形而上学的一些思考》出版于1797年。——原编者注
(42)参看第122页。
(43)参看第122页。
(44)尤拉(Leopold Euler,1707—1783),彼得堡、柏林的教授,以后又在彼得堡。著有《无限的分析引论》,1748年;《微分计算教程》,1755年,《积分计算教程》,1768—1794年。——原编者注
(45)参看第122页。
(46)拉格朗日(Jos Louis Lagrange,1736—1812),尤拉的柏林后继者,以后又任巴黎综合工艺学院教授。著有《解析函数论》,1797年出版。——原编者注
(47)数学中0﹕0这个比率的值是不确定的。——译者注
(48)兰登(John Landen,1719—1790),英国数学家,著有《数学夜思集》,1755年,等书。——原编者注
(49)参看第122页。
(50)费尔马(Pierrede Fermat,1601—1665),著有《数学运算的变数》,1679年。——原编者注
(51)巴罗(Isaac Barrow,1630—1677),剑桥大学教授,著有《几何学讲义》,1669年,《光学讲义》,1674年。——原编者注
(52)意思是说:弧本是曲线,但在无限小的情况下,却被当作了直线。——译者注
(53)拉格朗日在应用函数论于力学,即直线运动一章中,把这两种观点以简单的方式并列起来(《解析函数论》,第三部分,第一章,第四节)。经过的空间被看作是流过的时间的函数,这就是x=ft方程式,后者作为f(t+θ)展开时,便有:

于是在这段时间所经过的空间,便以

的公式来表示。于是借以通过空间的运动,可以说是由于各个部分的运动综合而成的(这就是说因为解析的展开,给了多数的,并且诚然是无限多的项),这些运动的与时间相应的各段空间,便是
等……。当运动已知时,第一部分运动在形式上是匀速的,有一个由f′t规定的速度,第二个是匀加速的运动,它是由一个与f″t成比例的加速的力而来的。“其余各项现在既然不与任何简单的、已知的运动有关,所以就不需特别考虑它们;我们并且将指明对于规定运动时间的开始之点,它们是可以抽掉的。”这一点随后便有了说明,但当然只是用一切项对于规定在一段时间经过的空间大小都属需要的那种系列,来和第三节表示落体运动的方程x=at+bt2比较,因为那里只有这样两项。由于解析展开而产生了各项,这个方程便有了说明,只是由于假定了这种说明,这个方程才获得它的形态;这个假定是匀加速运动由一个形式上匀速的,以在先前时间部分所达到的速度而继续的运动,和一个被付与重力的增长(它在s=at2中就是a,即经验的系数)综合而成,——这一个区别在事物本性中并不存在,也无根据,而只是对着手解析处理时所得的东西,作了错误的物理的表现。——黑格尔原注
(54)连续量或流量这个范畴,是由观察外在的和经验的大小变化而提出的,——这些大小由一个方程式而有了互为函数的关系;但是微分计算的科学对象,既然是一定的(通常用微分系数来表示的)比率,而这样的规定性很可以称为规律;于是对这种特殊的规定性说来,单纯的连续性一方面已经是一种外来的东西,另一方面,这种连续性在一切情况下都是抽象的,而在这里则是空洞的范畴,因为它关于连续规律,什么也没有说。在这里将会完全堕入什么样的徒具形式的定义,这从我的可尊敬的同事狄克孙教授先生*对微分计算演绎时使用的基本规定,联系到对这门科学一些新著的批评所作的敏锐的、一般的论述,便可以看出,这种论述见《科学评论年鉴》1827年,153号以下;在同上年鉴1251页甚至引证这样的定义:“一个经常的或连续的量,连续物(Kontinuum),是每一个被设想为在变的状况之下的大小,以致这个变的出现不是以跳跃的方式,而是由于不断的前进。”这到底不过是被下定义的事物的同语反复而已。——黑格尔原注
*狄克孙(Dirksen,Enno Herren,1792—1850),柏林数学教授。著有《变数计算的解析表述》,1823年。——原编者注
(55)诸角,指上面所说的三角形内的三个角。——译者注
(56)意指即使弧被当直线处理,它所构成的三角形,仍然是同一的。——译者注
(57)舒伯特(Schubert,Friedrich Theodor von,1758—1825),彼得堡天文台长,著有《理论天文学教科书》,1798年;《通俗天文学》三卷,1804—1810年。——原编者注
(58)假如对于方幂的展开,拿(a+b+c+d+…)n来代替(a+b)n,那也不过是解析所必须要求的普遍性那种形式主义而已。别的许多地方也是这样做的;维持这样的形式,可以说仅仅是为了卖弄普遍性的假象;事情其实在二项式便已经穷尽了,由二项式的展开,便找到了规律,而那个规律却是真正的普遍性,不是规律的表面的、仅仅空洞的重复,这种重复完全是由那个a+b+c+d+…所引起的。——黑格尔原注
(59)指算术中从一比例的三个已知数求第四未知数之法。——译者注
(60)罗伯伐尔,Personne,Gilles,Sieur de Roberval,1602—1675年。——原编者注
(61)费尔马,法国数学家,是应用微分量来找出切线的第一人。参看本书第284页原编者注。——译者注
(62)较大的小,即更小;绝对较大的小,即在一定条件下,没有比它更小的,这是指上文所说的增量。——译者注
(63)上面的引句原为法文。——译者注
(64)平方的方程式,即二次方程式。黑格尔这里要强调这种方程式的几何性质,故用此不习见的名词。——译者注
(65)微分方程式的项,皆比1小,故数的大小与其因次高低成反比例。——译者注
(66)即规定所要求的大小,是在一较大者和一较小者之中。——译者注
(67)伐勒里乌斯(Valerius,Lucas),1618年死于罗马,伽利略称他为当时的亚基米德,著有《从简单的错误论求抛物线平面法》。——原编者注
(68)卡伐列里(Cavalieri,Bonaventura Francesco,1598—1647),意大利的数学家,著有《几何学》、《几何习题》等书。——译者注
(69)在以前所引的批评中(《科学评论年鉴》第二卷,1827年,第155—156号以下),有一个精通本业的学者史泊尔先生*的很有趣的说法,这是从他的《流量计算的新原理》(布朗施维格,1826年)引来的,这些说法涉及一种情况,微分计算的晦涩而不科学,主要需溯因于它,这也很符合于我们以前关于这种计算的理论的一般情况所说的。他说:“纯算术的研究当然比一切类似的研究,都更与微分计算有关,人们不曾将它与真正的微分计算分开,甚至像拉格朗日那样,把它认为是事物本身,而人们却把这种研究仅仅看作是微分计算的应用。这种算术研究包括求微分的规则,泰勒定理的导数等,甚至各种求积分的方法也在内。情况完全相反,那些应用才正是构成真正微分计算的对象,从解析出发的微分计算是以一切那些算术的展开和运算为前提。”——我们曾经指出,在拉格朗日那里,将所谓应用与从系列出发的那种一般部分的办法分开,怎样恰恰提供了突出微分计算本身特性之用。上述的那位著者说,正是所谓应用构成真正微分计算的对象,但是可惊异的,是他有了这种饶有兴趣的见解,怎样会让自己进入(见上引的书)那种连续大小、变、流动等等形式的形而上学,想在那些废物之上再添上新的废物;那些规定之所以是形式的,因为它们只是一般的范畴,没有举出事物的特点,而事物却是要从具体学说,从应用去认识和加以抽象的。——黑格尔原注
* 史泊尔(Spehr,Friedrich Wilhelm,1799—1833),布朗施维格的数学家,著有《纯组合论的讲义大全》。——原编者注
(70)意思是说,既然两个三角形完全相等,便实际只是一个三角形。——译者注
(71)达盖(Tacquet,Andr.,1611—1660),安特威普耶稣教公学教授,著有:《圆柱体与环形》五卷,1651—1659年。——原编者注
(72)原子主义的方法,即指不可分的方法。——译者注