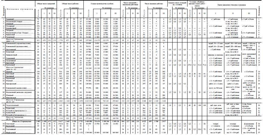
Приложение I (к V главе, стр. 265[760])

Сводная таблица статистических данных о мелких крестьянских промыслах Московской губернии

1) Тире в клетках ставится вместо ноля. Пустая клетка означает: «нет сведений».

2) Промыслы размещены в порядке возрастания числа рабочих (и семейных и наемных вместе), приходящегося в среднем по всему промыслу на одно заведение.

3) К промыслам № 31 и № 33 дана стоимость обрабатываемого сырья, составляющая 50-57% стоимости изделий, т. е. суммы производства.

4) Среднее число лошадей на 1 хозяина, по данным о 19 промыслах, составляет 1,4, по разрядам: I) 1,1; II) 1,5; III) 2,0.

5) Процент хозяев, обрабатывающих землю работником, поданным о 16 промыслах, составляет 12%, а по разрядам: I) 4,5%; II) 16,7%; III) 27,3%.


i_134.jpg